电脑桌面
添加小米粒文库到电脑桌面
安装后可以在桌面快捷访问

线性规划问题的最优解

线性规划问题的最优解_第1页
1/13
线性规划问题的最优解_第2页
2/13
线性规划问题的最优解_第3页
3/13
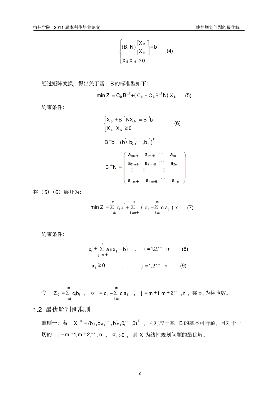
宿州学院 2011 届本科生毕业论文线性规划问题的最优解1 线性规划问题的最优解引言线性规划是运筹学的一个基本分支,其应用极其广泛,其作用以为越来越多的人所重视。线性规划主要就实际问题抽象成数学形式,即求一组变量的值,在满足一定的约束条件下,是某个目标达到最小或最大,而这些约束条件用可以用一组线性不等式或线性方程来表示。而求得目标函数的最优解尤为重要,本文就线性规划问题的最优解求解方法作出阐述,并举出实例加以强化,同时也指出了线性规划问题应用于生产与运作管理的重要性。1. 线性规划问题的最优解探讨1.1 线性规划问题的提出考虑下面的线性规划问题的标准型:目标函数:CXZmin (1) 约束条件:0XbAX (2) 其中,),,,(21ncccC,TnxxxX),,,(21,Tmbbbb),,,(21,nmijaA)(阶矩阵。设 B 是 A 中 m个线性无关的列向量构成的一个基,mmijaB)(阶矩阵,这样将矩阵 A 分成两个部分,即 A=),(NB,X=),(NB XX,C=NB CC ,,BX ,BC 为基 B对应的非基变量和系数,NX,NX为 N对应的非基变量和系数,这样将线性规划问题改写为: minZNB CC ,BBXX (3) 约束条件:宿州学院 2011 届本科生毕业论文线性规划问题的最优解2 0),(NBNBXXbXXNB (4) 经过矩阵变换,得出关于基B 的标准型如下:1minBCZB+(NC-1BC BN)NX (5) 约束条件:0,11NBNBXXbBNXBX (6) TmbbbbB),,,(''21'1mnmmmmnmmnmmaaaaaaaaaNB2122212121111将( 5)(6)展开为:Zmin'1imii bc+nmj1('1ijmiijacc)jx (7) 约束条件:inmjjijibxax'1' ,mi,,2,1 (8) 0jx ,nj,,2,1 (9) 令'10imiibcZ , j'1ijmiijacc ,nmmj,,2,1 , 称j 为检验数。1.2 最优解判别准则准则一:若TmbbbX)0,,0,,,,('2'1')1(,为对应于基B 的基本可行解,且对于一切的nmmj,,2,1,j >0 ,则 X 为线性规划问题的最优解。宿州学院 2011 届本科生毕业论文线性规划问题的最优解3 证明:j >0 ,由('7 )式可知,对任意一组可行解TnxxxX),,,(21,njjj xcZ1 ,均有0ZZ,但)1(X能使等式成立,即0ZZ,故)1(X为线性规划问题的最优解。准 则 二 : 当j0 ,nmmj,,2,1, 有 某 一 个0j, 设1mj ,mi,,2,1 ,01'ima,则该线性规划问题有第二个最优的基本可行解。证明:构造一个行解)2(X,('8 ) 得:11''mimiixabxmi,,2,11mx00jxnmj,,2根据原则0|min1'1''1imimimiaab1''LmLab1mx1''LmLab , 0Lx将)2(X带入原目标函数( 4)得:',1imLiiibcZ+(1mc-1'1immii ac+...

1、当您付费下载文档后,您只拥有了使用权限,并不意味着购买了版权,文档只能用于自身使用,不得用于其他商业用途(如 [转卖]进行直接盈利或[编辑后售卖]进行间接盈利)。
2、本站所有内容均由合作方或网友上传,本站不对文档的完整性、权威性及其观点立场正确性做任何保证或承诺!文档内容仅供研究参考,付费前请自行鉴别。
3、如文档内容存在违规,或者侵犯商业秘密、侵犯著作权等,请点击“违规举报”。

碎片内容

线性规划问题的最优解

您可能关注的文档

确认删除?
VIP
微信客服
  • 扫码咨询
会员Q群
  • 会员专属群点击这里加入QQ群
客服邮箱
回到顶部