电脑桌面
添加小米粒文库到电脑桌面
安装后可以在桌面快捷访问

苏科版数学七年级下册期终专题复习5

苏科版数学七年级下册期终专题复习5_第1页
1/5
苏科版数学七年级下册期终专题复习5_第2页
2/5
苏科版数学七年级下册期终专题复习5_第3页
3/5
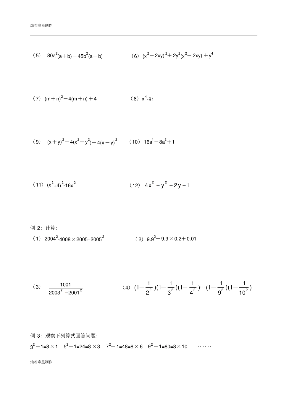
灿若寒星制作灿若寒星制作七年级 (下)数学期终复习 (5) 一、知识点:1、 因式分解:(1) 把一个多项式写成几个整式的积的形式叫做多项式的因式分解。(2) 多项式的乘法与多项式因式分解的区别简单地说:乘法是积 .化和.,因式分解是和.化积.。(3)因式分解的方法:①提公因式法;②运用公式法。2、因式分解的应用:(1)提公因式法:如果多项式的各项含有公因式,那么就可以把这个公因式提出来。把多项式化成公因式与另一个多项式的积的形式,这种分解因式的方法叫做提公因式法。(2)公因式:多项式ab+ac+ad 的各项 ab、ac、ad 都含有相同的因式a,a 称为多项式各项的公因式。(3)用提公因式法时的注意点:① 公因式要提尽,考虑的顺序是,先系数,再单独字母,最后多项式。如:4a2(a-2b)-18ab(a-2b)=2a(a-2b)(2a-9b) ;② 当多项式的第一项的系数为负数时,把“-”号作为公因式的负号写在括号外,使括号内的第一项的系数为正。如:-2m3+8m2-12m= -2.m(m2-4m+6) ;③ 提公因式后,另一个多项式的求法是用原多项式除以公因式。(4)运用公式法的公式:① 平方差公式: a2-b2=(a+b)(a-b) ② 完全平方公式:a2+2ab+b2=(a+b)2a2-2ab+b2=(a-b)2(5)因式分解的步骤和要求:把一个多项式分解因式时,应先提公因式...,注意公因式要提尽..,然后再应用公式,如果是二项式考虑用平方差公式,如果是三项式考虑用完全平方公式,直到把每一个因式都分解到不能再分解为止。如: -2x5y+4x3y3-2xy5=-2xy(x4-2x2y2+y4)=-2xy(x2-y2)(x2+y2)=-2xy(x+y)(x-y)(x2+y2) 二、举例:例 1:分解因式:(1) (a+b)2-2(a+b) (2)a(x-y)+b(y -x)+c(x -y) (3) (x+2)2- 9 (4)4(a+b)2-9(a-b)2灿若寒星制作灿若寒星制作(5) 80a2(a+b)-45b2(a+b) (6)(x2-2xy)2+ 2y2(x2- 2xy) +y4 (7) (m+n)2-4(m+n)+4 ( 8)x4-81 (9) (x+y)2-4(x2-y2)+4(x-y)2 (10) 16a4-8a2+1 (11)(x2+4)2-16x2(12)12422yyx例 2:计算:(1) 20042-4008×2005+20052( 2)9.92-9.9×0.2+0.01 (3)22200120031001(4) (1-221 )(1-231 )(1-241 )⋯(1-291 )(1-2101 ) 例 3:观察下列算式回答问题:32-1=8×1 52-1=24=8 ×3 72-1=48=8×6 92-1=80=8×10 ⋯⋯⋯灿若寒星制作灿若寒星制作问:根据上述的式子,你发现了什么?你能用数学式子来说明你的结论是正确的吗?例 ...

1、当您付费下载文档后,您只拥有了使用权限,并不意味着购买了版权,文档只能用于自身使用,不得用于其他商业用途(如 [转卖]进行直接盈利或[编辑后售卖]进行间接盈利)。
2、本站所有内容均由合作方或网友上传,本站不对文档的完整性、权威性及其观点立场正确性做任何保证或承诺!文档内容仅供研究参考,付费前请自行鉴别。
3、如文档内容存在违规,或者侵犯商业秘密、侵犯著作权等,请点击“违规举报”。

碎片内容

苏科版数学七年级下册期终专题复习5

确认删除?
VIP
微信客服
  • 扫码咨询
会员Q群
  • 会员专属群点击这里加入QQ群
客服邮箱
回到顶部