电脑桌面
添加小米粒文库到电脑桌面
安装后可以在桌面快捷访问

教育统计学考试试题

教育统计学考试试题_第1页
1/6
教育统计学考试试题_第2页
2/6
教育统计学考试试题_第3页
3/6
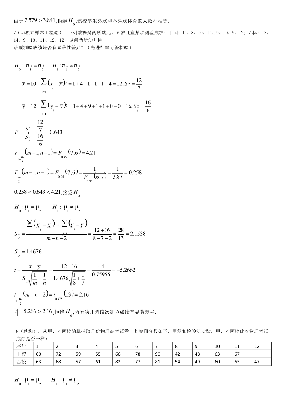
1.(方差已知区间估计) 某中学二年级语文同一试卷测验分数历年来的标准差为10.6,现从今年测验中随机抽取10 份考卷,算得平均分为72,求该校此次测验平均成绩的95%置信区间。 解 72,10.610, 10.95Xn 1122:,72 1.96 10.610 ,721.96 10.61065.43,78.57xxnn 2(方差未知区间估计). 已知某校高二10 名学生的物理测验分数为92、94、96、66、84、71、45、98、94、67,试求全年级平均分数的95%置信区间。 9294966684714598946780.710x  101022221111310.999iiiiSxxxn x 17.632S  1122:1,180.72.2622 17.63210 ,80.72.2622 17.6321068.09,93.31SSxtnxtnnn 3. 3.(方差未知单样本 t 检验) 某区中学计算机测验平均分数为70.3,该区甲校15 名学生此次测验平均分数为67.2,标准差为11.4,问甲校此次测验成绩与全区是否有显著性差异? 01:70.3:70.3HH 067.270.3 151.05311.4xtns   0.9751 211 142.1448tntn 由于 0.9751.053142.1448tt,接受0H ,甲校此次测验成绩与全区无显著性差异. 4(方差已知的单样本均值检验).某区某年高考化学平均分数为72.4,标准差为12.6,该区实验学校28 名学生此次考试平均分数为74.7,问实验学校此次考试成绩是否高于全区平均水平? 01:72.4:72.4HH 074.772.4280.96612.6xtn  10.951271.7033tnt 接受0H ,实验学校成绩没有高于全区平均水平. 5(卡方).某校学生对中学文理分科赞成者占25%,不置可否者占35%,不赞成者占40%,该校某班40 名学生中赞成者8人,不置可否者11 人,不赞成者21 人。问该班学生 对文理分科各种态度的人数比率与全校是否一样? 解:频数分布表如下: 类型 观察频数 A 期望频数 T A-T (A-T)2/T 赞成者 8 10 -2 0.4 不置可否者 11 14 -3 0.642 不赞成者 21 16 5 1.562 总和 40 40 0 2.605 由频数表可知:ᵴᵽ=2.605 0123:0.250.350.4XH 2222321840 0.251140 0.352140 0.440 0.2540 0.3540 0.4jjjjnnpnp 2.605  2210.95125.991k...

1、当您付费下载文档后,您只拥有了使用权限,并不意味着购买了版权,文档只能用于自身使用,不得用于其他商业用途(如 [转卖]进行直接盈利或[编辑后售卖]进行间接盈利)。
2、本站所有内容均由合作方或网友上传,本站不对文档的完整性、权威性及其观点立场正确性做任何保证或承诺!文档内容仅供研究参考,付费前请自行鉴别。
3、如文档内容存在违规,或者侵犯商业秘密、侵犯著作权等,请点击“违规举报”。

碎片内容

教育统计学考试试题

您可能关注的文档

确认删除?
VIP
微信客服
  • 扫码咨询
会员Q群
  • 会员专属群点击这里加入QQ群
客服邮箱
回到顶部