电脑桌面
添加小米粒文库到电脑桌面
安装后可以在桌面快捷访问

数字信号处理习题及答案

数字信号处理习题及答案_第1页
1/60
数字信号处理习题及答案_第2页
2/60
数字信号处理习题及答案_第3页
3/60
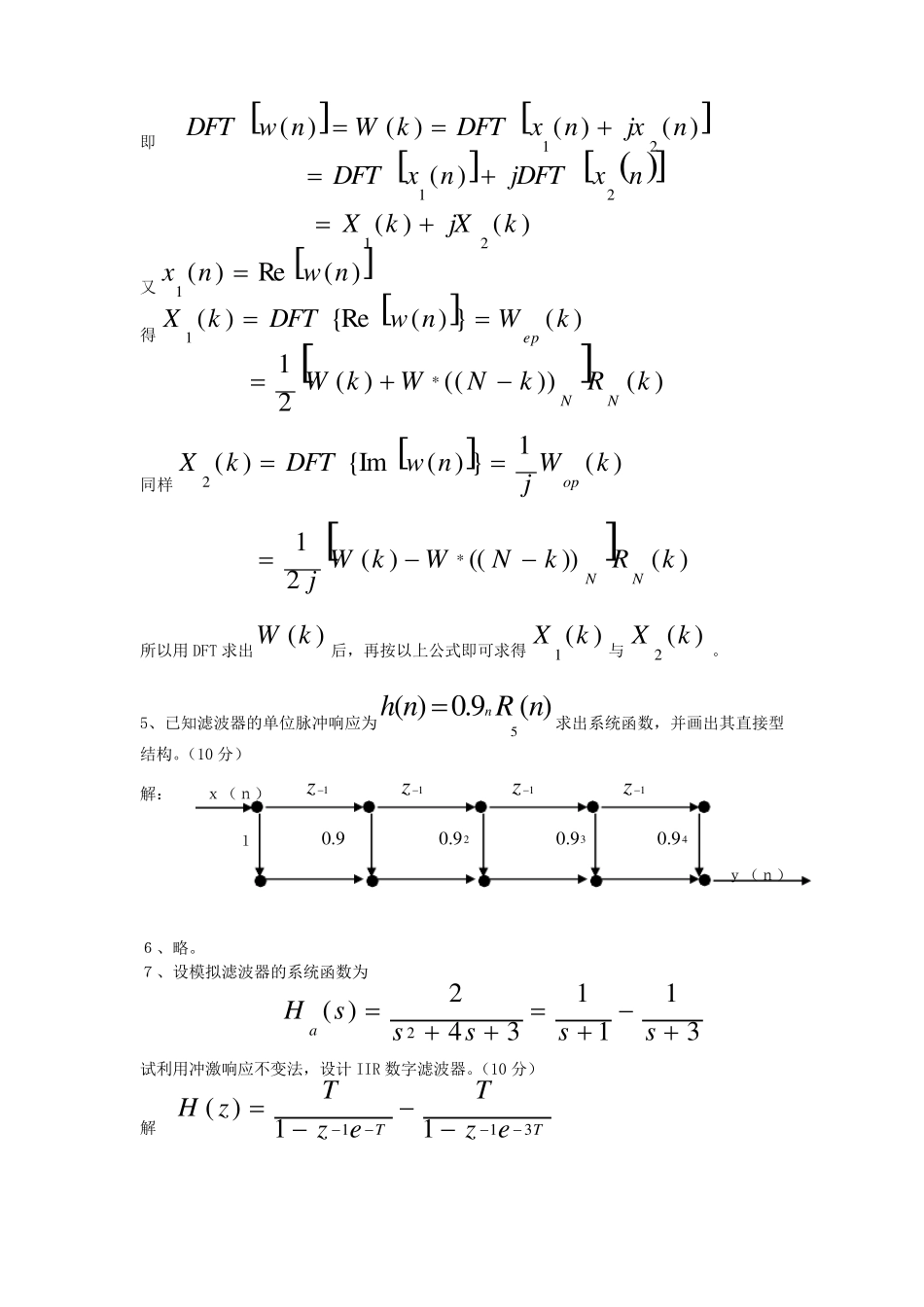
三、计算题 1、已知10),()(anuanxn,求)(nx的 Z 变换及收敛域。(10 分) 解:0)()(nnnnnnzaznuazX 10111)( azzann ||||az  2、设)()(nuanxn )1()()(1nuabnubnhnn 求)()()(nhnxny。(10 分) 解:azznxzX)()(, ||||az  bzazbzabzznhzH)()(, ||||bz  bzzzHzXzY)()()( , ||||bz  其 z 反变换为)()()()()(1nubzYnhnxnyn 3、写出图中流图的系统函数。(10 分) 解:21)( czbzazH 21124132)(zzzzH 4、利用共轭对称性,可以用一次 DFT 运算来计算两个实数序列的 DFT,因而可以减少计算量。设都是 N 点实数序列,试用一次 DFT 来计算它们各自的 DFT: )()(11kXnxDFT )()(22kXnxDFT(10 分)。 解:先利用这两个序列构成一个复序列,即 )()()(21njxnxnw 即 )()()()(21njxnxDFTkWnwDFT  nxjDFTnxDFT21)( )()(21kjXkX 又)(Re)(1nwnx 得)(})({Re)(1kWnwDFTkXep )())(()(21*kRkNWkWNN 同样)(1})({Im)(2kWjnwDFTkXop )())(()(21*kRkNWkWjNN 所以用DFT 求出 )(kW后,再按以上公式即可求得 )(1 kX与)(2 kX。 5、已知滤波器的单位脉冲响应为)(9.0)(5 nRnhn求出系统函数,并画出其直接型结构。(10 分) 解: x(n) 1z 1z 1z 1z 1 9.0 29.0 39.0 49.0 y(n) 6、略。 7、设模拟滤波器的系统函数为 3111342)(2sssssHa 试利用冲激响应不变法,设计 IIR 数字滤波器。(10 分) 解 TTezTezTzH31111)( TTTTTezeezeeTz423131)(1)( 设T=1,则有 2111 8 3 1.04 1 7 7.013 1 8 1.0)(zzzzH 4)3(2)(2jjHa 21 8 3 1.04 1 7 7.013 1 8 1.0)(jjjjeeeeH 三、(12 分)序列)(nx为 ( )( )2(1 )(3 )x nnnn 1、 画出序列)(nx的图形; 2、计算线性卷积)()(nxnx ; 3、计算5 点圆周卷积)(nx○5)(nx。 4、为了使 N 点的)(nx与)(nx圆周卷积可以表示其线性卷积,最小的N 值为多少? 解:1、序列)(nx的图形如下:(2 分) 2、)6()4(4)3(2)2(4)1(4)()(...

1、当您付费下载文档后,您只拥有了使用权限,并不意味着购买了版权,文档只能用于自身使用,不得用于其他商业用途(如 [转卖]进行直接盈利或[编辑后售卖]进行间接盈利)。
2、本站所有内容均由合作方或网友上传,本站不对文档的完整性、权威性及其观点立场正确性做任何保证或承诺!文档内容仅供研究参考,付费前请自行鉴别。
3、如文档内容存在违规,或者侵犯商业秘密、侵犯著作权等,请点击“违规举报”。

碎片内容

数字信号处理习题及答案

确认删除?
VIP
微信客服
  • 扫码咨询
会员Q群
  • 会员专属群点击这里加入QQ群
客服邮箱
回到顶部