电脑桌面
添加小米粒文库到电脑桌面
安装后可以在桌面快捷访问

流体力学公式

流体力学公式_第1页
1/7
流体力学公式_第2页
2/7
流体力学公式_第3页
3/7
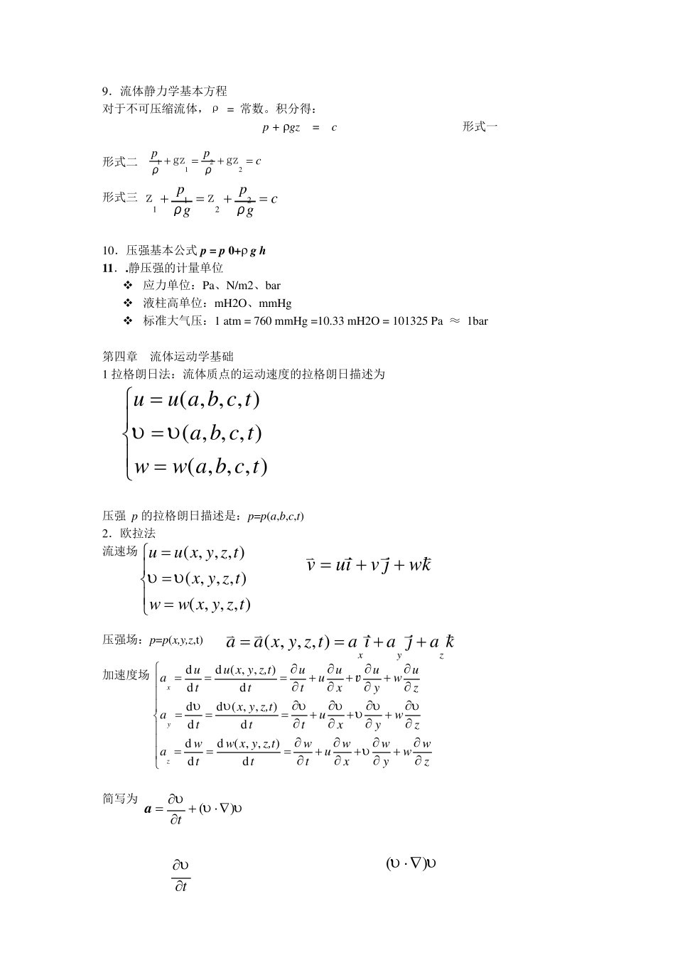
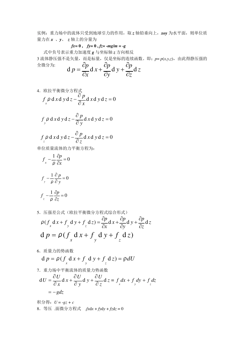
第二章 流体的主要物理性质 ❖ 流体的可压缩性计算、牛顿内摩擦定律的计算、粘度的三种表示方法。 1.密度 ρ = m /V 2.重度 γ = G /V 3.流体的密度和重度有以下的关系:γ = ρ g 或 ρ = γ/ g 4.密度的倒数称为比体积,以υ表示υ = 1/ ρ = V/m 5.流体的相对密度:d = γ流 /γ水 = ρ流 /ρ水 6.热膨胀性 7.压缩性. 体积压缩率κ 8.体积模量 9.流体层接触面上的内摩擦力 10.单位面积上的内摩擦力(切应力)(牛顿内摩擦定律) 11..动力粘度μ: 12.运动粘度ν :ν = μ/ρ 13.恩氏粘度°E:°E = t 1 / t 2 第三章 流体静力学 ❖ 重点:流体静压强特性、欧拉平衡微分方程式、等压面方程及其、流体静力学基本方程意义及其计算、压强关系换算、相对静止状态流体的压强计算、流体静压力的计算(压力体)。 1.常见的质量力: 重力ΔW = Δmg、 直线运动惯性力ΔFI = Δm·a 离心惯性力ΔFR = Δm·rω2 . 2.质量力为F。:F = m ·am = m(fxi+fyj+fzk) am = F/m = fxi+fyj+fzk 为单位质量力,在数值上就等于加速度 TVV  1pVV 1VPVK 1nAFdddndvnv d/d 实例:重力场中的流体只受到地球引力的作用,取z 轴铅垂向上,xoy 为水平面,则单位质量力在x 、y、 z 轴上的分量为 fx= 0 , fy= 0 , fz= -mg/m = -g 式中负号表示重力加速度 g 与坐标轴z 方向相反 3 流体静压强不是矢量,而是标量,仅是坐标的连续函数。即:p= p(x,y,z),由此得静压强的全微分为: 4.欧拉平衡微分方程式 单位质量流体的力平衡方程为: 5.压强差公式(欧拉平衡微分方程式综合形式) 6.质量力的势函数 7.重力场中平衡流体的质量力势函数 积分得:U = -gz + c 8.等压 .面微分方程式 .fxdx + fydy + fzdz = 0 zzpyypxxppddddd ddd dd0xpfxyzxyzxρd ddd dd0ypfxyzxyzyρd ddd dd0zpfxyzxyzzρ01xpfxρ10ypfyρ01zpfzρzzpyypxxpzfyfxfzyxddd)ddd(ρ)ddd(dzfyfxfpzyxρd(ddd )xyzpfxfyfzdUρddddxyzUUUUxyz = f dxf dyf dzxyzgdz 9.流体静力学基本方程 对于不可压缩流体,ρ = 常数。积分得: p + gz = c 形...

1、当您付费下载文档后,您只拥有了使用权限,并不意味着购买了版权,文档只能用于自身使用,不得用于其他商业用途(如 [转卖]进行直接盈利或[编辑后售卖]进行间接盈利)。
2、本站所有内容均由合作方或网友上传,本站不对文档的完整性、权威性及其观点立场正确性做任何保证或承诺!文档内容仅供研究参考,付费前请自行鉴别。
3、如文档内容存在违规,或者侵犯商业秘密、侵犯著作权等,请点击“违规举报”。

碎片内容

流体力学公式

小辰3+ 关注
实名认证
内容提供者

出售各种资料和文档

相关文档

确认删除?
VIP
微信客服
  • 扫码咨询
会员Q群
  • 会员专属群点击这里加入QQ群
客服邮箱
回到顶部