电脑桌面
添加小米粒文库到电脑桌面
安装后可以在桌面快捷访问

同济版高数试卷及答案VIP专享VIP免费

同济版高数试卷及答案_第1页
1/5
同济版高数试卷及答案_第2页
2/5
同济版高数试卷及答案_第3页
3/5
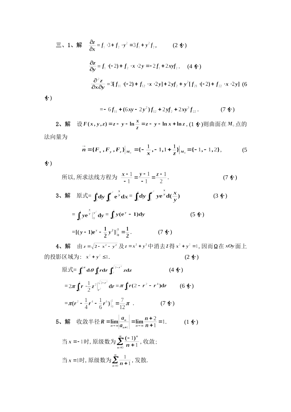
模拟试卷一一、填空题(每小题3分,满分18分)1、若函数,则=.2、设函数,则=.3、交换积分次序:=.4、曲面包含在柱面内的面积可用二次积分表示为(不必具体计算).5、已知,,则=.6、母线平行于轴,准线为两曲面与的交线的柱面方程为二、单项选择题(每小题3分,满分12分)1、在点的偏导数及存在是在该点可微的().A.充分条件B.必要条件C.充分必要条件D.既非充分又非必要条件2、函数在点处沿从点到点的方向的方向导数为().A.B.C.D.3、若在处收敛,则此级数在处().A.条件收敛B.绝对收敛C.发散D.收敛性不能确定4、设为;为且,则使成立的充分条件是().(A)(B)(C)(D)三、计算下列各题(每小题7分,满分49分)1、设,其中具有二阶连续偏导数,求,,.2、求曲面在点处的法线方程.3、计算.4、计算三重积分,其中是由曲面与所围成的闭区域.5、求幂级数的收敛半径、收敛域及和函数.6、将函数展开为的幂级数.7、过点且与直线:,:平行的平面方程。四、应用题(每小题8分,满分16分)1、求旋转椭球面在第一卦限的一点,使该点处的切平面在三个坐标轴上的截距平方和最小.2、设球体占有闭区域,它在内部各点处的密度的大小等于该点到坐标原点的距离的平方,试求这球体的质量.五、证明题(5分)若收敛,试证也收敛.模拟试卷一答案一、1、;2、;3、;4、(或);5、;6、.二、1、;2、;3、;4、.三、1、解=,(2分)=.(4分)=(6分)=.(7分)2、解设,(1分)则曲面在点的法向量为,(5分)所以,所求法线方程为.(7分)3、解原式==(3分)==(5分)=.(7分)4、解由及中消去得,因而在面上的投影区域为:.(2分)原式=(4分)==(6分)=.(7分)5、解收敛半径.(1分)当时,原级数为,收敛;当时,原级数为,发散.所以,原级数的收敛域为:.(3分)设,.则当时,======.(6分)当时,.(7分).6、解=(3分)==.(5分)展开域为即.(7分)7、解的方向向量,(1分)的方向向量可取,(3分)所求平面的法向量可取,(5分)故的方程为或(6分)(7分)四、1、解曲面位于第一挂限部分上任一点处的切平面方程为,(2分)则它在三个坐标轴上的截距分别为,,.(3分)所以设.(5分)由(7分)解得,.因为驻点惟一,所以即为所求的点(8分)2、解密度函数为,(1分)则球体的质量为==(2分)=(5分)==(7分)===.(8分)五、证,.(2分)由极限的性质知,,当时,有,而,(4分)故由比较判别法知,收敛.(5分)

1、当您付费下载文档后,您只拥有了使用权限,并不意味着购买了版权,文档只能用于自身使用,不得用于其他商业用途(如 [转卖]进行直接盈利或[编辑后售卖]进行间接盈利)。
2、本站所有内容均由合作方或网友上传,本站不对文档的完整性、权威性及其观点立场正确性做任何保证或承诺!文档内容仅供研究参考,付费前请自行鉴别。
3、如文档内容存在违规,或者侵犯商业秘密、侵犯著作权等,请点击“违规举报”。

碎片内容

同济版高数试卷及答案

您可能关注的文档

确认删除?
VIP
微信客服
  • 扫码咨询
会员Q群
  • 会员专属群点击这里加入QQ群
客服邮箱
回到顶部