电脑桌面
添加小米粒文库到电脑桌面
安装后可以在桌面快捷访问

事业单位制度起草审议及发布流程

事业单位制度起草审议及发布流程_第1页
1/20
事业单位制度起草审议及发布流程_第2页
2/20
事业单位制度起草审议及发布流程_第3页
3/20
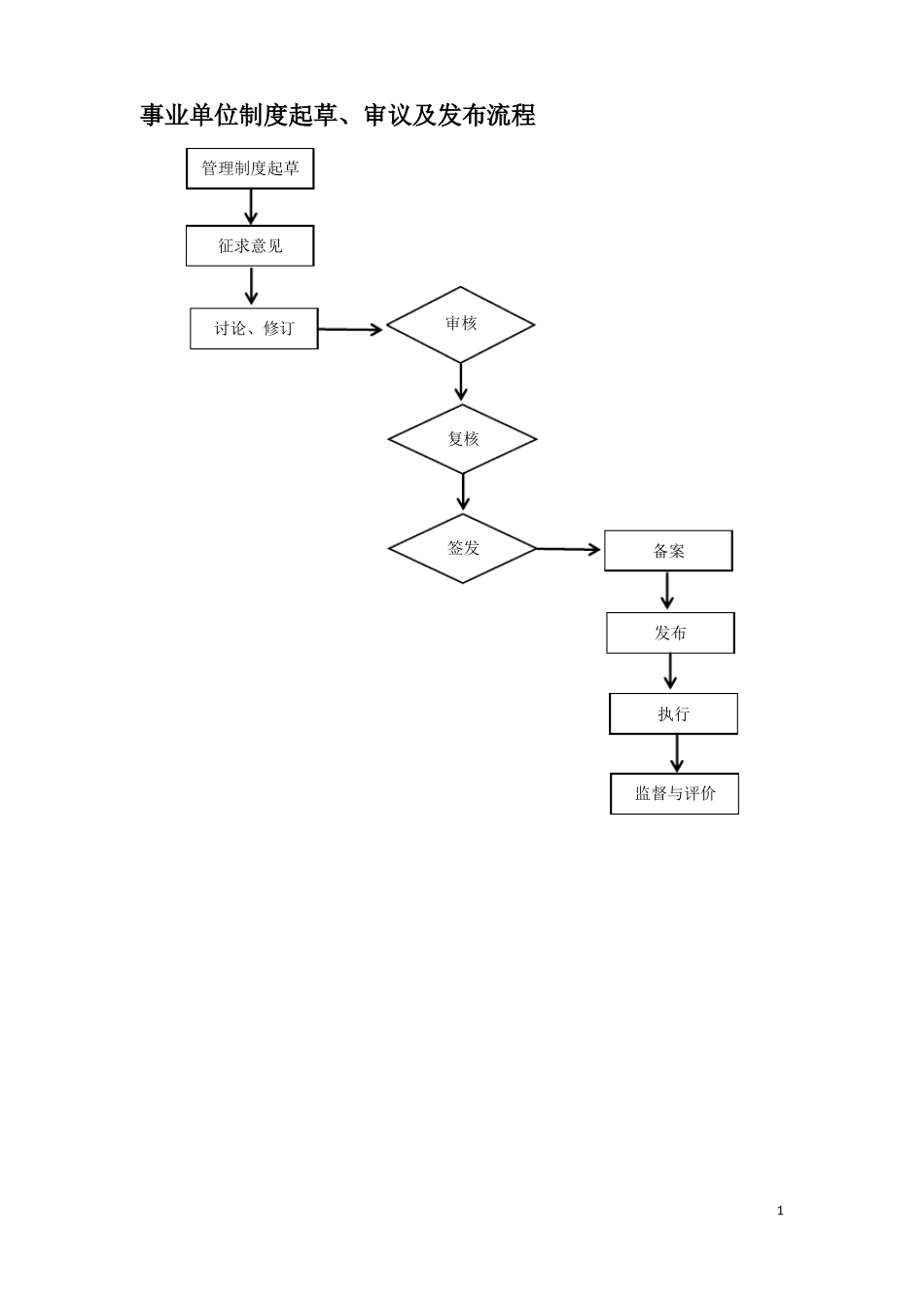
事业单位制度起草、审议及发布流程管理制度起草征求意见讨论、修订审核复核签发备案发布执行监督与评价1二、W 局预算业务控制流程1、事业单位预算编制流程业务单位 A根据工作安排提出预算建议数预算建议数预算编制流程预算编制组 B财务处负责人 C局党组会议 D财政、上级部门E预1、预算编制开始部署预算编报工作否2、预算审核初审是汇总各单位预算形成厅预算建议数不通过局预算建议数审批通过审批通过审批预算分解流程下达预算控制数结束22、事业单位预算审批流程业务单位 A调整细化单位预算草案结束(1)预算分解子流程图计财处 B分管财务校领导C校党委常委会 D计财处 E1、预1、财政控制数下达2、内部控制数下达3、内部细化调整4、年度预算批复下达开始下达控制数控制数分解细化不通过控制数细化分解方案审批调整细化审核局预算草案不通过决议审批预算指标下达通知议年度校内预算下达预算审批下达3三、W 局部门及岗位设置流程(1)事业单位局内部门及岗位设置流程局党政领导办公会单位监督机构内部控制领导小组纪检、监察、审计领导小组办公室单位决策机构办公室人事处…职能部门n财务处资产管理处政策法规处信息管理处下属单位一下属单位二(2)事业单位局内部门设计流程调根据局内现状及发展情况制定岗位设计方案调成立领导小组,讨论制定岗位设计方案修改方案4不通过报人事厅核准单位执行机构四、W 局资产管理业务控制流程1、事业单位固定资产购置流程图1、预1、审查起草承办部门 A开始承办部门准备相关材料经济合同审核单合同管理流程发展与财务处 B法规处 C分管局领导 D办公室 E局长 F财务室 G宣教中心 H不通过52、事业单位固定资产验收流程图使用部门 A开始固定资产购置子流程固定资产验收子流程固定资产管理部门 B财务处 C会计岗 E1、预1、验收对采购的固定资产进行验收验收通过62、公十三、事业单位政府采购业务控制流程业务部门财会部门内部采购办外部采购办采购需求登记预算指标下达7五、W 局收支业务控制流程1、事业单位收入业务控制流程职能科室收入登记及入账流程图职能科室科长分管领导规划财务科规划财务局局长8开始2、事业单位支出业务控制流程91.W 局基本支出(人员支出)管理业务控制流程2.W 局基本支出(公用支出)管理业务控制流程4.W 局公务接待业务控制流程六、W 局项目经费管理业务控制流程(1)事业单位经费支出业务控制流程出差人员 A开始经费支出管理差旅费部门负责人 B人事处 C分管局领...

1、当您付费下载文档后,您只拥有了使用权限,并不意味着购买了版权,文档只能用于自身使用,不得用于其他商业用途(如 [转卖]进行直接盈利或[编辑后售卖]进行间接盈利)。
2、本站所有内容均由合作方或网友上传,本站不对文档的完整性、权威性及其观点立场正确性做任何保证或承诺!文档内容仅供研究参考,付费前请自行鉴别。
3、如文档内容存在违规,或者侵犯商业秘密、侵犯著作权等,请点击“违规举报”。

碎片内容

事业单位制度起草审议及发布流程

您可能关注的文档

确认删除?
VIP
微信客服
  • 扫码咨询
会员Q群
  • 会员专属群点击这里加入QQ群
客服邮箱
回到顶部