电脑桌面
添加小米粒文库到电脑桌面
安装后可以在桌面快捷访问

二次根式混合运算

二次根式混合运算_第1页
1/15
二次根式混合运算_第2页
2/15
二次根式混合运算_第3页
3/15
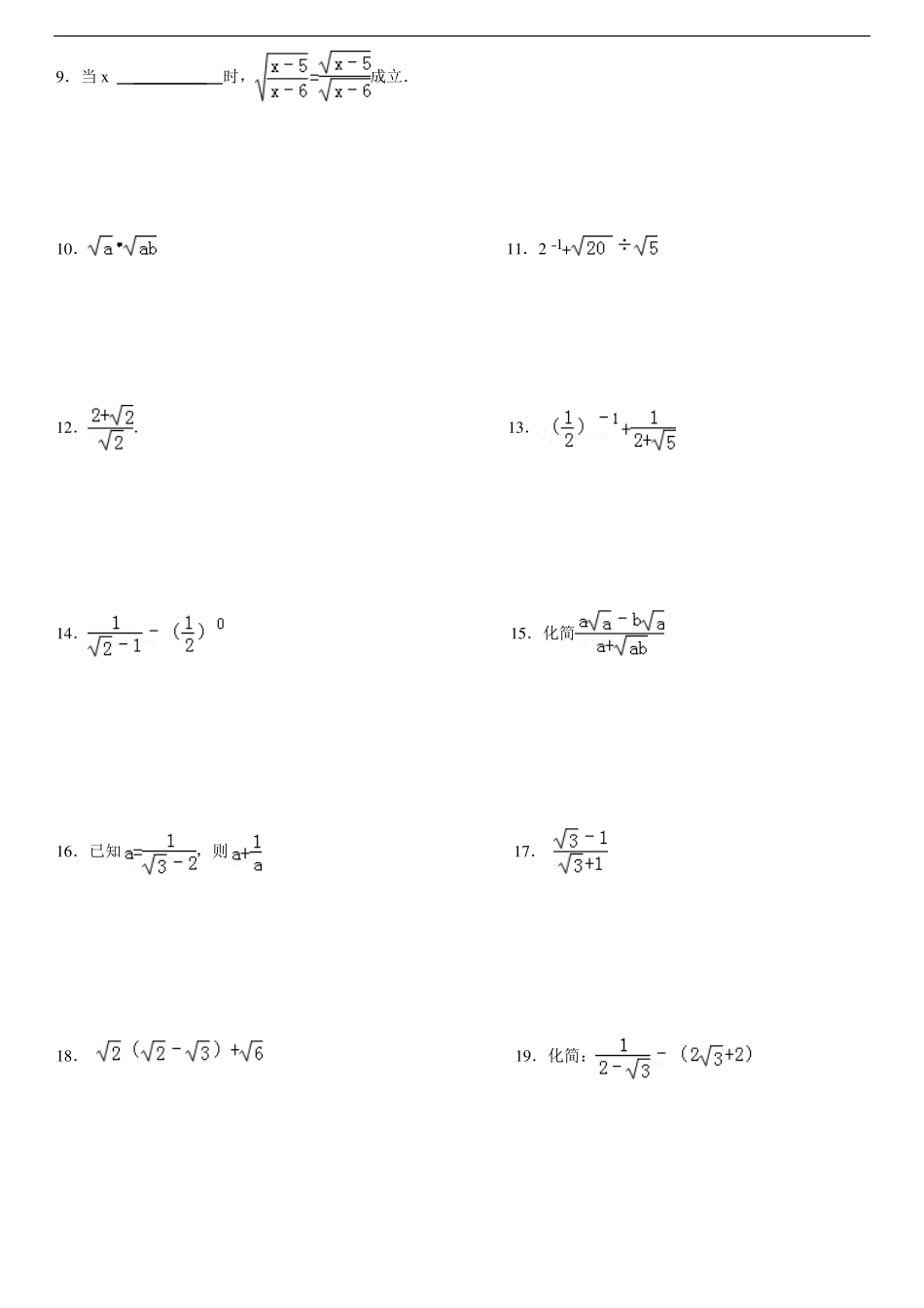
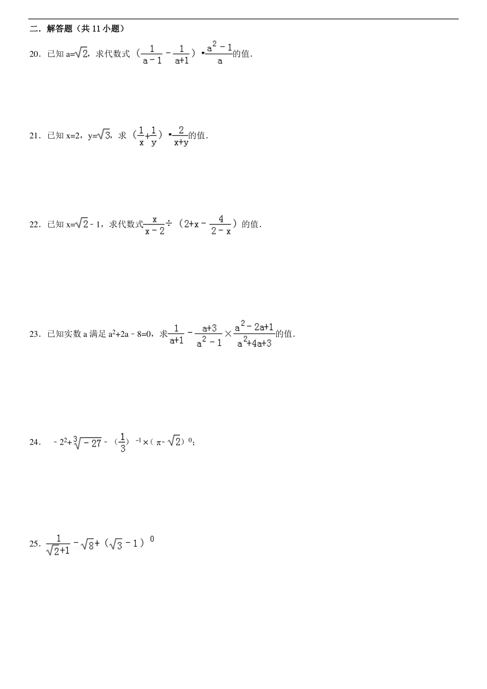
实用文档二次根式混合运算一、计算题1.2.3.5.化简.7.的倒数是文案大全4.6.把化为最简二次根式.8.计算÷的结果是9.当 x_________时,10.成立.11.2+﹣112..14.16.已知,则18..15.化简17.19.化简:13二.解答题(共 11 小题)20.已知 a=21.已知 x=2,y=22.已知 x=23.已知实数 a 满足 a +2a﹣8=0,求24. ﹣2 +25.22,求代数式的值.,求的值.﹣1,求代数式的值.的值.﹣( )×(π﹣﹣1) ;026.先化简,再求值:27.先化简,再求值:28.先化简,再求值:29.先化简,再求值:30.先化简,再求值:,其中 x=﹣1.,其中 a=,b=.÷﹣,其中 a=﹣2.,其中 x=.÷(a+),其中 a=﹣1,b=1.31.先化简,再求值:32.先化简,再求值:,其中.,其中 a=+1二次根式混合运算参考答案、解析一.填空题(共 19 小题)1.计算:=.考点: 二次根式的乘除法.专题: 计算题.分析: 先把除法变成乘法,再求出解答: 解:×÷,×=2,即可求出答案.=××,=2,故答案为:2.点评: 本题考查了二次根式的乘除法的应用,注意:应先把除法转化成乘法,再根据二次根式的乘法法则进行计算即可,题目较好,但是一道比较容易出错的题目.2.=﹣.考点: 二次根式的乘除法.分析: 根据二次根式的乘除法运算,即可得出结果.注意把除法运算转化为乘法运算.解答: 解:==﹣×.点评: 本题主要考查了二次根式的乘除法运算,比较简单,同学们要仔细作答.3.计算:=+2.考点: 二次根式的乘除法;幂的乘方与积的乘方.专题: 计算题.分析:2011根据××(+2)得出 1×(+2),推出 1×(+2),求出即可.解答: 解:原式==××(×(+2),+2),=1×(+2),=+2,故答案为+2.点评: 本题考查了幂的乘方与积的乘方和二次根式的乘除法的应用,关键是得出原式=4.计算=40.×(+2),题目比较好,难度适中.考点: 二次根式的乘除法.分析: 根据二次根式的乘法和减法法则进行计算.解答: 解:原式=45﹣|﹣5|=45﹣5=40.故答案是:40.点评: 主要考查了二次根式的乘法运算.二次根式的运算法则:乘法法则=.5.化简=﹣.考点: 分母有理化.分析: 式子的分子和分母都乘以即可得出,根据 b 是负数去掉绝对值符号即可.解答: 解: b<0,∴====﹣..=|b|=﹣b.故答案为:﹣点评:6.把本题考查了二次根式的性质和分母有理化,注意:当b<0 时,化为最简二次根式得.考点: 最简...

1、当您付费下载文档后,您只拥有了使用权限,并不意味着购买了版权,文档只能用于自身使用,不得用于其他商业用途(如 [转卖]进行直接盈利或[编辑后售卖]进行间接盈利)。
2、本站所有内容均由合作方或网友上传,本站不对文档的完整性、权威性及其观点立场正确性做任何保证或承诺!文档内容仅供研究参考,付费前请自行鉴别。
3、如文档内容存在违规,或者侵犯商业秘密、侵犯著作权等,请点击“违规举报”。

碎片内容

二次根式混合运算

您可能关注的文档

爱的疯狂+ 关注
实名认证
内容提供者

该用户很懒,什么也没介绍

相关文档

确认删除?
VIP
微信客服
  • 扫码咨询
会员Q群
  • 会员专属群点击这里加入QQ群
客服邮箱
回到顶部