电脑桌面
添加小米粒文库到电脑桌面
安装后可以在桌面快捷访问

现代通信原理与技术课后答案张辉第四章

现代通信原理与技术课后答案张辉第四章_第1页
1/6
现代通信原理与技术课后答案张辉第四章_第2页
2/6
现代通信原理与技术课后答案张辉第四章_第3页
3/6
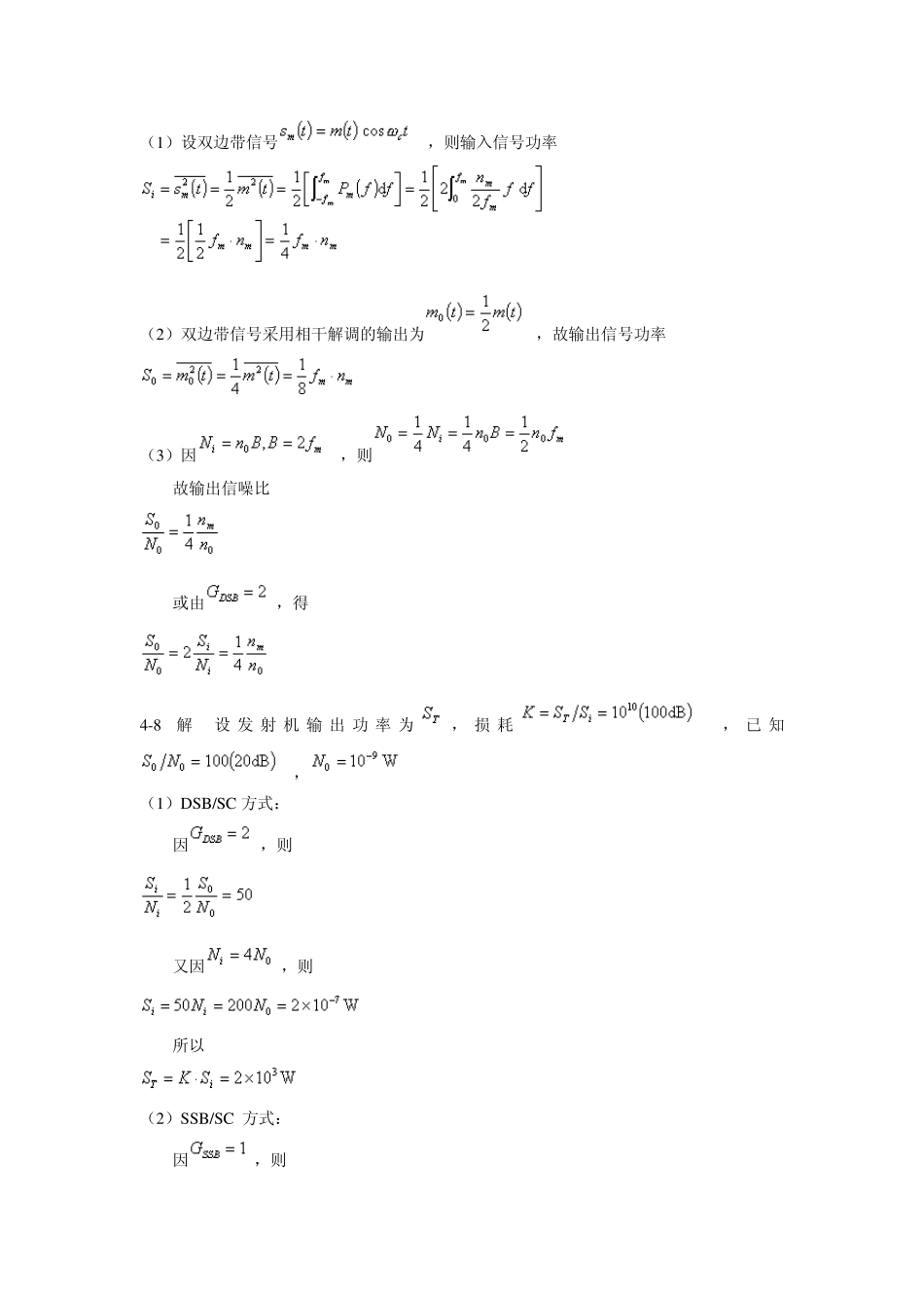
4-1 解 AM 信号 ttAtsAM4010cos2000cos2)( DSB 信号 tttttsD S B444108.0cos102.1cos10cos2000cos2)( USB 信号 ttsU S B4102.1cos)( LSB 信号 ttsL S B4108.0cos)( 频谱图略 4-2 解 设载波, (1)DSB信号的波形如题4-2图(b),通过包络后的输出波形为题4-2图(c)。 (2)AM信号,设 ,波形如题4-2图(d),通过包络后的输出波形为题4-2图(e)。 讨论DSB解调信号已严重失真,故对DSB信号不能采用包络检波法;而AM可采用此法恢复。 题4-2图(b)、(c)、(d)和(e) 4-5 解 (1)为了保证信号顺利通过和尽可能地滤除噪声,带通滤波器的宽度等于已调信号带宽,即kHzfBm8422,其中心频率为100kHz,故有 为常数,其中其他,,KkHzfkHzKH 010496)(。 (2)已知解调器的输入信号功率WmWSi31022,输入噪声功率为 )(1032101021082)(26633WfPBNni 故输入信噪比 5.62iiNS (3)因为DSB 调制制度增益2DSBG,故解调器的输出信噪比 1252iiooNSNS (4)根据相干解调器的输出噪声与输入噪声功率关系)(108416 WNNio 又因解调器中低通滤波器的截止频率为 kHzfm4,故输出噪声的功率谱密度 kHzfHzWfNfPmoNo4)/(1011081082)(336,  或者,根据相干解调器的输出噪声与输入噪声功率关系)(21)(tntnco,其中)(tnc是解调器输入端高斯窄带噪声的同相分量,其功率谱密度 kHzfHzWfPfPnnc4)/(104)(2)(3,  因此输出噪声)(tno的功率谱密度kHzfHzWfPfPncno4)/(101)(41)(3,  功率谱图略 4-6 解 方法如上题 (1)为常数,其中其他,,KkHzfkHzKH 010096)( (2)125iiNS (3)125ooNS 4-7 解 练习题 4-7 图 接收机模型 (1)设双边带信号,则输入信号功率 (2)双边带信号采用相干解调的输出为,故输出信号功率 (3)因,则 故输出信噪比 或由,得 4-8 解 设发 射 机 输出功率为,损 耗,已 知, (1)DSB/SC 方式: 因,则 又因,则 所以 (2)SSB/SC 方式: 因,则 又因,则 所以 讨论 若要获得相同的输出信噪比 ,采用DSB 传输是所需的小于SSB 的。 4-10 证 设 AM 信号为 式中,输入噪声为 则解调器输入的信号功率和噪声功率分别为 设同步检测(相干解调)中...

1、当您付费下载文档后,您只拥有了使用权限,并不意味着购买了版权,文档只能用于自身使用,不得用于其他商业用途(如 [转卖]进行直接盈利或[编辑后售卖]进行间接盈利)。
2、本站所有内容均由合作方或网友上传,本站不对文档的完整性、权威性及其观点立场正确性做任何保证或承诺!文档内容仅供研究参考,付费前请自行鉴别。
3、如文档内容存在违规,或者侵犯商业秘密、侵犯著作权等,请点击“违规举报”。

碎片内容

现代通信原理与技术课后答案张辉第四章

您可能关注的文档

小辰6+ 关注
实名认证
内容提供者

出售各种资料和文档

确认删除?
VIP
微信客服
  • 扫码咨询
会员Q群
  • 会员专属群点击这里加入QQ群
客服邮箱
回到顶部