电脑桌面
添加小米粒文库到电脑桌面
安装后可以在桌面快捷访问

第二章导数与微分试题及答案

第二章导数与微分试题及答案_第1页
1/12
第二章导数与微分试题及答案_第2页
2/12
第二章导数与微分试题及答案_第3页
3/12
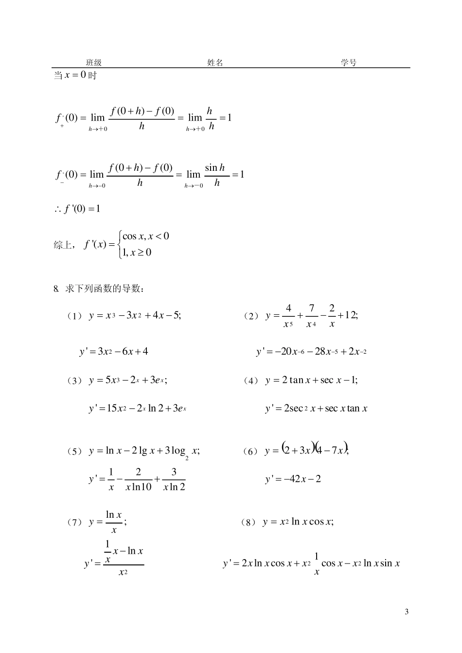
班级 姓名 学号 1 第二章 导数与微分 1.   .1,102fxxf试按定义求设 200200( 1)( 1)10(1)10'( 1)limlim1020limlim(1020)20xxxxfxfxfxxxxxx          2. 下列各题中均假定 0xf 存在,按导数定义观察下列极限,指出此极限表示什么, 并将答案填在括号内。 ⑴  xxfxxfx000lim(0'()fx); ⑵  xxfx0lim('(0)f), 其中  存在;且0,00ff ⑶ hhxfhxfh000lim(02'()fx). 3. 求下列函数的导数: ⑴ yxy ,4则34x ⑵ yxy ,32则1323 x ⑶ yxy ,1则3212 x ⑷ yxxy ,53则115165 x 4. 求曲线. 21,3 cos程处的切线方程和法线方上点xy 3'sin ,'()32yx y    所以切线方程为13 ()223yx  化简得332(1)03xy 班级 姓名 学号 2 法线方程为12 ()233yx 化简得32 3( 3)0xy 5. 讨论函数0 00 1sin2xxxxy 在0x处的连续性和可导性. 20(0)01limsin0(0)()xfxfx因为有界量乘以无穷小 所以函数在0x 处连续 因为 20001sin(0)(0)1limlimlimsin0xxxxfxfxxxxx     所以函数在0x 处可导. 6. 已知    是否存在?又及求 0 ,0 0 , 0 0 2fffxxxxxf 2'00(0)(0)(0)limlim0hhfhfhfhh '00(0)(0)(0)limlim1hhfhfhfhh  ''(0)(0)ff '(0)f不存在 7.   . , 0 0 sin xfxxxxxf求已知 当0x 时, '( )(sin )'cosfxxx; 当0x  时, '( )( )'1fxx ; 班级 姓名 学号 3 当0x 时 '00(0)(0)(0)limlim1hhfhfhfhh++ '00(0)(0)sin(0)limlim1hhfhfhfhh- '(0)1f 综上,cos ,0'( )1,0x xfxx  8. 求下列函数的导数: (1);54323xxxy (2);1227445xxxy 2'364yxx 652'20282yxxx  (3);3253xxexy (4);1sectan2xxy 2'152 ln 23xxyxe 2'2secsectanyxxx (5);log3...

1、当您付费下载文档后,您只拥有了使用权限,并不意味着购买了版权,文档只能用于自身使用,不得用于其他商业用途(如 [转卖]进行直接盈利或[编辑后售卖]进行间接盈利)。
2、本站所有内容均由合作方或网友上传,本站不对文档的完整性、权威性及其观点立场正确性做任何保证或承诺!文档内容仅供研究参考,付费前请自行鉴别。
3、如文档内容存在违规,或者侵犯商业秘密、侵犯著作权等,请点击“违规举报”。

碎片内容

第二章导数与微分试题及答案

小辰+ 关注
实名认证
内容提供者

出售各种文档和资料

确认删除?
VIP
微信客服
  • 扫码咨询
会员Q群
  • 会员专属群点击这里加入QQ群
客服邮箱
回到顶部