电脑桌面
添加小米粒文库到电脑桌面
安装后可以在桌面快捷访问

复变函数经典例题

复变函数经典例题_第1页
1/30
复变函数经典例题_第2页
2/30
复变函数经典例题_第3页
3/30
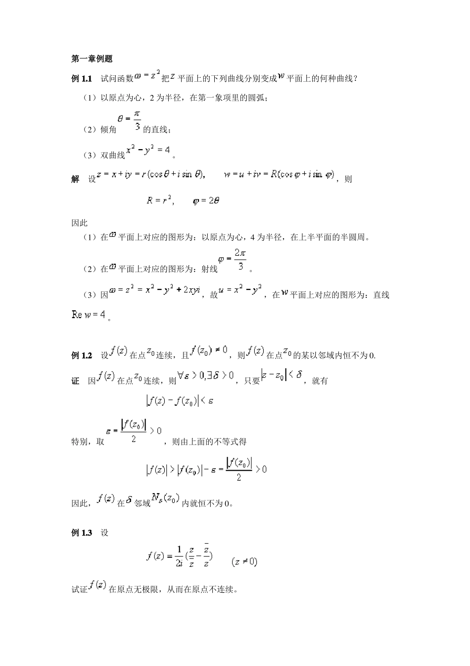
第一章例题例 1.1试问函数把平面上的下列曲线分别变成平面上的何种曲线?(1)以原点为心,2 为半径,在第一象项里的圆弧;(2)倾角(3)双曲线解设因此(1)在的直线;。,则平面上对应的图形为:以原点为心,4 为半径,在上半平面的半圆周。(2)在(3)因平面上对应的图形为:射线,故。,在平面上对应的图形为:直线。例 1.2设证因在点在点连续,且,则,只要在点的某以邻域内恒不为 0.,就有连续,则特别,取,则由上面的不等式得因此,在邻域内就恒不为 0。例 1.3设试证在原点无极限,从而在原点不连续。证令变点,则从而(沿正实轴)而沿第一象限的平分角线故,时,。在原点无确定的极限,从而在原点不连续。第二章例题例 2.1在平面上处处不可微证易知该函数在平面上处处连续。但当时,极限不存在。因取实数趋于 0 时,起极限为 1,取纯虚数而趋于零时,其极限为-1。故处处不可微。例 2.2函数证因在满足定理 2.1 的条件,但在。故不可微。但在时无极限,这是因让沿射线随而趋于零,即知上式趋于一个与有关的值。例 2.3讨论解因要使的解析性, 故,故只在可微,从而,处处不解析。条件成立,必有例 2.4讨论解因要使处不解析。的可微性和解析性, 故,故只在直线上可微,从而,处条件成立,必有例 2.5讨论解因的可微性和解析性,并求, 而。在复平面上处处连续且满足条件,从而在平面上处处可微,也处处解析。且。例 2.6设之值。解设确定在从原点起沿负实轴割破了的平面上且,试求,则由代入得解得:,从而。例 2.7设则且的主值为。例 2.8考查下列二函数有哪些支点(a)(b), 当沿正方向绕行一周时,的辐解(a)作一条内部含 0 但不含 1 的简单闭曲线角得到增量,的辐角没有改变, 即从而故的终值较初值增加了一个因子,发生了变化,可见 0 是的支点。同理 1 也是其支点。任何异于 0,1 的有限点都不可能是支点。因若设是含但不含 0,1 的简单闭曲线,则故的终值较初值增加了一个因子不是,未发生变化。的支点。因若设最后含 0,1 的简单闭曲线,则故的终值较初值增加了一个因子,未发生变化。。设(b)可能的支点是 0,1,分别是含 0 但不含 1,含 1 但不含 0,和既含 0 又含 1 的简单闭曲线,则结果的终值较初值均发生了变化。故 0,1,都是支点,此外别无支点。例 2.9 试说明在点解易知取负值的那个分支在的支点是在将平面适当割开后能分出三个解析分支。并求出的值。因此,将平面沿正实轴...

1、当您付费下载文档后,您只拥有了使用权限,并不意味着购买了版权,文档只能用于自身使用,不得用于其他商业用途(如 [转卖]进行直接盈利或[编辑后售卖]进行间接盈利)。
2、本站所有内容均由合作方或网友上传,本站不对文档的完整性、权威性及其观点立场正确性做任何保证或承诺!文档内容仅供研究参考,付费前请自行鉴别。
3、如文档内容存在违规,或者侵犯商业秘密、侵犯著作权等,请点击“违规举报”。

碎片内容

复变函数经典例题

爱的疯狂+ 关注
实名认证
内容提供者

该用户很懒,什么也没介绍

相关文档

确认删除?
VIP
微信客服
  • 扫码咨询
会员Q群
  • 会员专属群点击这里加入QQ群
客服邮箱
回到顶部