电脑桌面
添加小米粒文库到电脑桌面
安装后可以在桌面快捷访问

DIN9761VIP专享

DIN9761_第1页
1/7
DIN9761_第2页
2/7
DIN9761_第3页
3/7
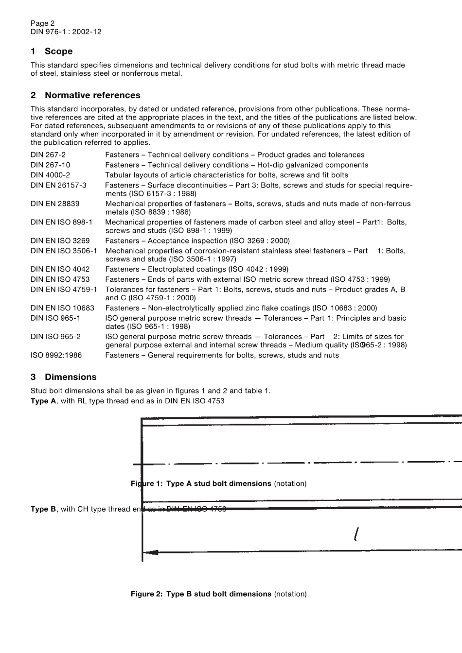
ICS 21.040.10; 21.060.10Gewindebolzen – Teil 1: Metrisches GewindeIn keeping with current practice in standards published by the International Organization for Standardization(ISO), a comma has been used throughout as the decimal marker.Ref. No. DIN 976-1 : 2002-12English price group 07Sales No. 010708.03DEUTSCHE NORMDecember 2002976-1{©No part of this translation may be reproduced without the prior permission ofDIN Deutsches Institut für Normung e.V., Berlin. Beuth Verlag GmbH, 10772 Berlin, Germany,has the exclusive right of sale for German Standards (DIN-Normen).Translation by DIN-Sprachendienst.In case of doubt, the German-language original should be consulted as the authoritative text.Metric thread stud boltsContinued on pages 2 to 7.Forew ordThis standard has been prepared by Technical Committee Verbindungselemente mit Sonderformen of theNormenausschuss Mechanische Verbindungselemente (Fasteners Standards Committee).AmendmentsThis standard differs from the February 1995 edition as follows:a) All stud bolts (irrespective of their nominal length) may be provided with either type A or type B ends.b) Property classes have been changed.c) The specifications relating to surface finish have been amended.d) Alternative marking by colour coding has been specified.e) References have been updated.Previous editionsDIN 976: 1970-01, 1986-09; DIN 976-1: 1995-02.All dimensions are in millimetres.IntroductionStud bolts with metric thread are designed to perform functions similar to those of double end studs(clamping type or interference-fit type). This standard covers stud bolts with threads produced to tolerance6g which is customary for bolt/nut assemblies of thread engagement group N as specified in DINISO 965-1.Attention is drawn to the fa...

1、当您付费下载文档后,您只拥有了使用权限,并不意味着购买了版权,文档只能用于自身使用,不得用于其他商业用途(如 [转卖]进行直接盈利或[编辑后售卖]进行间接盈利)。
2、本站所有内容均由合作方或网友上传,本站不对文档的完整性、权威性及其观点立场正确性做任何保证或承诺!文档内容仅供研究参考,付费前请自行鉴别。
3、如文档内容存在违规,或者侵犯商业秘密、侵犯著作权等,请点击“违规举报”。

碎片内容

确认删除?
VIP
微信客服
  • 扫码咨询
会员Q群
  • 会员专属群点击这里加入QQ群
客服邮箱
回到顶部