电脑桌面
添加小米粒文库到电脑桌面
安装后可以在桌面快捷访问

微积分练习题含答案

微积分练习题含答案_第1页
1/6
微积分练习题含答案_第2页
2/6
微积分练习题含答案_第3页
3/6
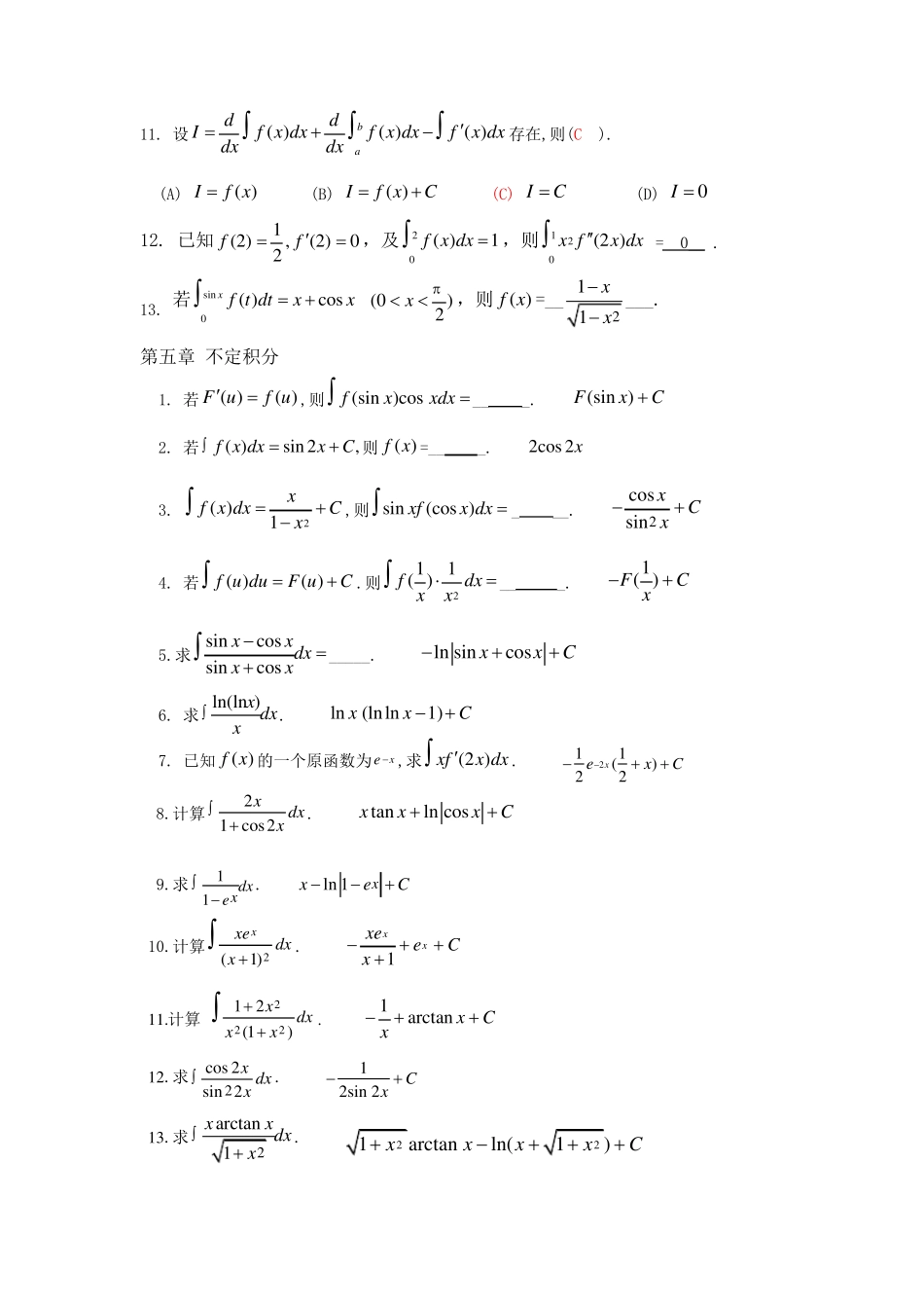
练习题第六章 定积分1. F(x) x1(2  11)dt(x  0) 的单调增加区间为_____.( ,)4t2. 函数 F(x) 3.设 f (x)  x0tetdt 在点 x =____处有极值. 01sin x2sint dt, g(x)  x  sin x ,则当 x  0 时有( A ).02(A)f (x) ~ g(x) (B) f (x) 与 g(x) 同阶,但 f (x) 不等价于 g(x)(C) f (x)  o(g(x)) (D) g(x)  o( f (x))35sin xsin x22322sin xcos xdx. [] 4.计算 0035155.计算  e21dx.2( 3 1)x 1 ln x6.求函数 I(x)   x1t(1 lnt)dt 在[1,e] 上的最大值与最小值.最大值e23 ,最小值 041x2xex  07.设函数 f (x)  ,计算11 x  01cos2x 41f (x  2)dx 1 tan1 e4 128.  (2x sint)dt  ( C ) (其中 x ).2tsin xsin x C (B)xx(A)(C) sin x2sin x2 (D)Cxx9. 设 f (x) 是连续函数,且  x30f (t)dt  x ,则 f (8)=_____.x2011210. limx0x0ln(1 sint)dt1 cos x=___1__ ;limx0costdt=__1__ .ln(1 x 2)ddbf (x)dx  f (x)dx  f (x)dx 存在,则(C ).11. 设 I dxdxa(A) I  f (x) (B) I  f (x) C(C) I  C (D) I  021112. 已知 f (2) , f (2)  0,及 f (x)dx 1,则 x2 f (2x)dx = 0__ .00213. 若 sin x0f (t)dt  x  cos x(0  x 2) ,则 f (x) =__ 1 x1 x2___.第五章 不定积分1. 若 F(u)  f (u) ,则2. 若 f (sin x)cos xdx __ _.F(sin x)  C f (x)dx  sin2x  C, 则 f (x) =__ _.2cos 2xf (x)dx 3. cosxx C C ,则_ __.sin xf (cos x)dx 221 xsin x4. 若111f (u)du  F(u)  C .则 f ( )2 dx  __ _.F( )  Cxxx5.求 sin x  cos xsin x  cos xdx  _____.ln sin x  cosx Cln(lnx)xdx.ln x (lnln x 1) C6. 求x7. 已知 f (x) 的一个原函数为e,求 xf (2x)dx . 1 e2x (1  x)  C22 8.计算 9.求2xdx .xtan x  ln cosx  C1 cos2xx.dxx  ln 1 e  C...

1、当您付费下载文档后,您只拥有了使用权限,并不意味着购买了版权,文档只能用于自身使用,不得用于其他商业用途(如 [转卖]进行直接盈利或[编辑后售卖]进行间接盈利)。
2、本站所有内容均由合作方或网友上传,本站不对文档的完整性、权威性及其观点立场正确性做任何保证或承诺!文档内容仅供研究参考,付费前请自行鉴别。
3、如文档内容存在违规,或者侵犯商业秘密、侵犯著作权等,请点击“违规举报”。

碎片内容

微积分练习题含答案

确认删除?
VIP
微信客服
  • 扫码咨询
会员Q群
  • 会员专属群点击这里加入QQ群
客服邮箱
回到顶部