电脑桌面
添加小米粒文库到电脑桌面
安装后可以在桌面快捷访问

《泵与压缩机》练习题答案VIP专享

《泵与压缩机》练习题答案_第1页
1/11
《泵与压缩机》练习题答案_第2页
2/11
《泵与压缩机》练习题答案_第3页
3/11
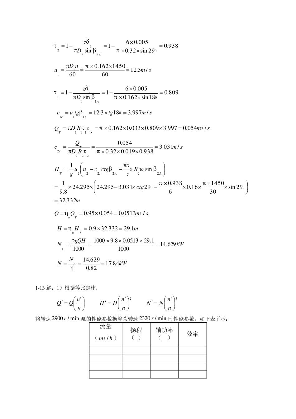
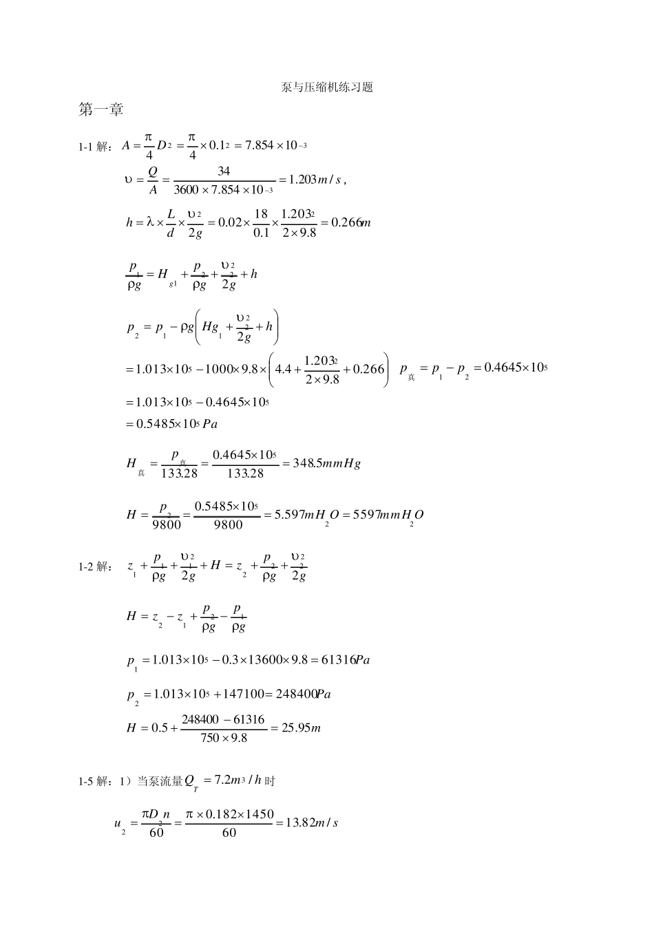
泵与压缩机练习题 第一章 1 -1 解:3221 08 5 4.71.044 DA smAQ/2 0 3.11 08 5 4.73 6 0 03 43 , mgdLh2 6 6.08.922 0 3.11.01 80 2.0222 hggpHgpg222211 PahgHggpp55525221121 05 4 8 5.01 04 6 4 5.01 00 1 3.12 6 6.08.922 0 3.14.48.91 0 0 01 00 1 3.12 5211 04 6 4 5.0ppp真 mmHgpH5.3 4 82 8.1 3 31 04 6 4 5.02 8.1 3 35 真真 OmmHOmHpH22525 5 9 75 9 7.59 8 0 01 05 4 8 5.09 8 0 0 1 -2 解: ggpzHggpz2222222111 gpgpzzH1212 Pap6 1 3 1 68.91 3 6 0 03.01 00 1 3.151 Pap2 4 8 4 0 01 4 7 1 0 01 00 1 3.152 mH9 5.2 58.97 5 06 1 3 1 62 4 8 4 0 05.0 1 -5 解:1 )当泵流量hmQT/2.73时 smnDu/8 2.1 36 01 4 5 01 8 2.06 022 smBDQcTr/555.036009.0007.0182.02.72222 smctgctgcucAru/856.1230555.082.1302222 mcugHrT13.18856.1282.138.91122 2)当泵流量hmQT/8.283时 smBDQcTr/221.236009.0007.0182.08.282222 smctgctgcucAru/975.93022.282.1302222 mcugHrT067.14975.982.138.91122 3)画出两种流量时叶轮出口的速度三角形(略) 随流量TQ 的增大,rc2 增加,uc2 减小,TH下降。 1-6 解:smnDu/406.3360290022.06022 smBDQcTr/617.301.022.0025.0222 smcwAr/655.922sin617.3sin0222 smctgctgcucAru/454.2422617.3406.3302222 0222413.8454.24617.3arctgccarctgur mcugHrT357.83454.24406.338.91122 1-7 解:smnDu/295.2460145032.06022 938.029sin32.0005.061sin102222ADz smnDu/3.12601450162.06011 809.018sin162.0005.061sin101111ADz smtgtgucAr/997.3183.120111 smcBDQrT...

1、当您付费下载文档后,您只拥有了使用权限,并不意味着购买了版权,文档只能用于自身使用,不得用于其他商业用途(如 [转卖]进行直接盈利或[编辑后售卖]进行间接盈利)。
2、本站所有内容均由合作方或网友上传,本站不对文档的完整性、权威性及其观点立场正确性做任何保证或承诺!文档内容仅供研究参考,付费前请自行鉴别。
3、如文档内容存在违规,或者侵犯商业秘密、侵犯著作权等,请点击“违规举报”。

碎片内容

《泵与压缩机》练习题答案

确认删除?
VIP
微信客服
  • 扫码咨询
会员Q群
  • 会员专属群点击这里加入QQ群
客服邮箱
回到顶部