电脑桌面
添加小米粒文库到电脑桌面
安装后可以在桌面快捷访问

《线性代数》期末复习要点

《线性代数》期末复习要点_第1页
1/9
《线性代数》期末复习要点_第2页
2/9
《线性代数》期末复习要点_第3页
3/9
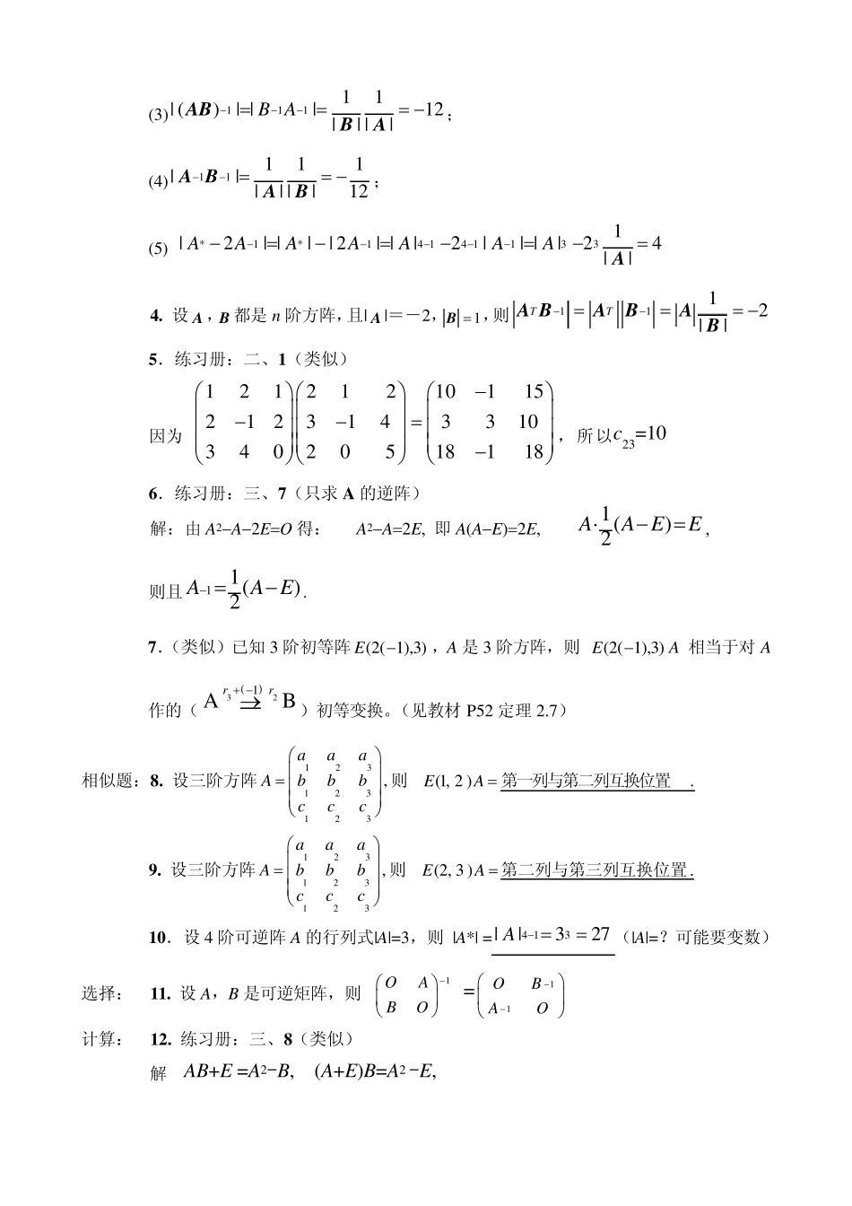
《线性代数》期末复习要点 第一章 n 阶行列式 题型: 填空1.练习册:一、6 解:因为(4,3,2,1)0142332411423324114233241( 1)( 1)a a a aa a a aa a a a , 所以符号为正。 2.(类似)4 阶行列式11121314212223243132333441424344aaaaaaaaDaaaaaaaa,中含有14213243a a a a 的项的符号------- 解:因为(4,1,2,3)0 1 1 1142132431423324114233241( 1)( 1)a a a aa a a aa a a a    , 所以符号为正。 计算 3.三、4 (类型相似,但是主对角线上的元素有变化) 将第一行乘)1(分别加到其余各行,得 axxaaxxaaxxaaaaxDn0000000 再将各列都加到第一列上,得 axaxaxaaaanxDn0000000000)1()(])1([1axanxn 第二章 矩阵理论 题型: 填空 1.练习册:一、9(|A| |B|换数) 解:131|2| 2|| 8 2 232||   TB()ABA 相似题:2.设 A、B 是 3 阶方阵,且|A|=2, |B|=3, 则1BAT=112||2||33BA 3. 已知 A,B 为 4 阶方阵,且|| 3, ||4 AB,则: (1)4|22 ||3 ( 4)12 AB |=A|B |==; (2)4| 4|4|||| 256343072  T ()()ABA B; (3)11111|()|||12| || | B AABBA; (4)11111|| | || |12  A BAB; (5) *1*14 14 1133 1|2||| |2|| |2||| | 24| |AAAAAAAA 4. 设A ,B 都是n 阶方阵,且|A |=-2,1B,则1112| | TTA BABA B 5.练习册:二、1(类似) 因为 12121 2101 152123143 31034020 5181 18,所以c23=10 6.练习册:三、7(只求 A 的逆阵) 解:由 A2A2EO 得: A2A2E 即 A(AE)2E EEAA)(21 则且)(211EAA 7.(类似)已知 3 阶初等阵(2( 1),3)E,A 是3 阶方阵,则 (2( 1),3)EA 相当于对 A 作的(BA231 rr)()初等变换。(见教材 P52 定理 2.7) 相似题:8. 设三阶方阵123123123,aaaAbbbccc 则(1, 2 )EA  第一列与第二列互换位置. 9. 设三阶方阵123123123,aaaAbbbccc 则(2, ...

1、当您付费下载文档后,您只拥有了使用权限,并不意味着购买了版权,文档只能用于自身使用,不得用于其他商业用途(如 [转卖]进行直接盈利或[编辑后售卖]进行间接盈利)。
2、本站所有内容均由合作方或网友上传,本站不对文档的完整性、权威性及其观点立场正确性做任何保证或承诺!文档内容仅供研究参考,付费前请自行鉴别。
3、如文档内容存在违规,或者侵犯商业秘密、侵犯著作权等,请点击“违规举报”。

碎片内容

《线性代数》期末复习要点

您可能关注的文档

确认删除?
VIP
微信客服
  • 扫码咨询
会员Q群
  • 会员专属群点击这里加入QQ群
客服邮箱
回到顶部