电脑桌面
添加小米粒文库到电脑桌面
安装后可以在桌面快捷访问

七年级数学有理数混合运算练习

七年级数学有理数混合运算练习_第1页
1/9
七年级数学有理数混合运算练习_第2页
2/9
七年级数学有理数混合运算练习_第3页
3/9
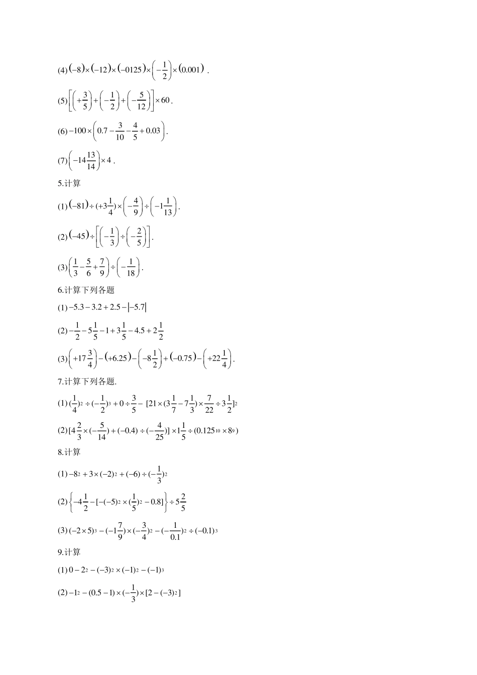
七年级数学有理数混合运算练习 一、计算题 1 .计算. (1 )3351 (1)()4862 4  (2 )3221113()( 2 )(2 )()( 3 )()222      (3 )2 41 9( 5 )2 5  (4 )43510 .712( 1 5 )0 .7( 1 5 )9494   (5 )2111315()1( 2 )( 5 )2231 14   (6 )31 0 02111132( 2 )()( 1 )3( 3 )82     2 .计算. (1 )50 .7 50 .34 . (2 )34 97312 21  . (3 )11150 .61 .7 5232 . (4 )37771 481 28   . 3 .计算 (1 )451211762 1. (2 )148 12649 . (3 ) 1111134566 0 . 4 .用简便方法计算 (1 ) 11 .2 54822 0   . (2 )532 .465  . (3 )312 4 61 014313   . (4)  181201250.0012 . (5)513160522 . (6)341000.70.03105. (7)1314414. 5.计算 (1)14813 41()1139  . (2)453251 . (3) 157136918 . 6.计算下列各题 (1) 5.33.22.55.7  (2)11115134.522552  (3)311176.2580.7522424    . 7.计算下列各题. (1)23113( )()0425 21171[21 (37 )3 ]73222 (2)254[4()( 0.4)()]31425   10911(0.1258 )5 8.计算 (1)222183 ( 2)( 6)()3     (2)221124[ ( 5)( )0.8]5255   (3)3223731( 25)( 1 )()()( 0.1)940.1 ...

1、当您付费下载文档后,您只拥有了使用权限,并不意味着购买了版权,文档只能用于自身使用,不得用于其他商业用途(如 [转卖]进行直接盈利或[编辑后售卖]进行间接盈利)。
2、本站所有内容均由合作方或网友上传,本站不对文档的完整性、权威性及其观点立场正确性做任何保证或承诺!文档内容仅供研究参考,付费前请自行鉴别。
3、如文档内容存在违规,或者侵犯商业秘密、侵犯著作权等,请点击“违规举报”。

碎片内容

七年级数学有理数混合运算练习

您可能关注的文档

小辰9+ 关注
实名认证
内容提供者

出售各种资料和文档

确认删除?
VIP
微信客服
  • 扫码咨询
会员Q群
  • 会员专属群点击这里加入QQ群
客服邮箱
回到顶部