电脑桌面
添加小米粒文库到电脑桌面
安装后可以在桌面快捷访问

三角函数部分高考题

三角函数部分高考题_第1页
1/10
三角函数部分高考题_第2页
2/10
三角函数部分高考题_第3页
3/10
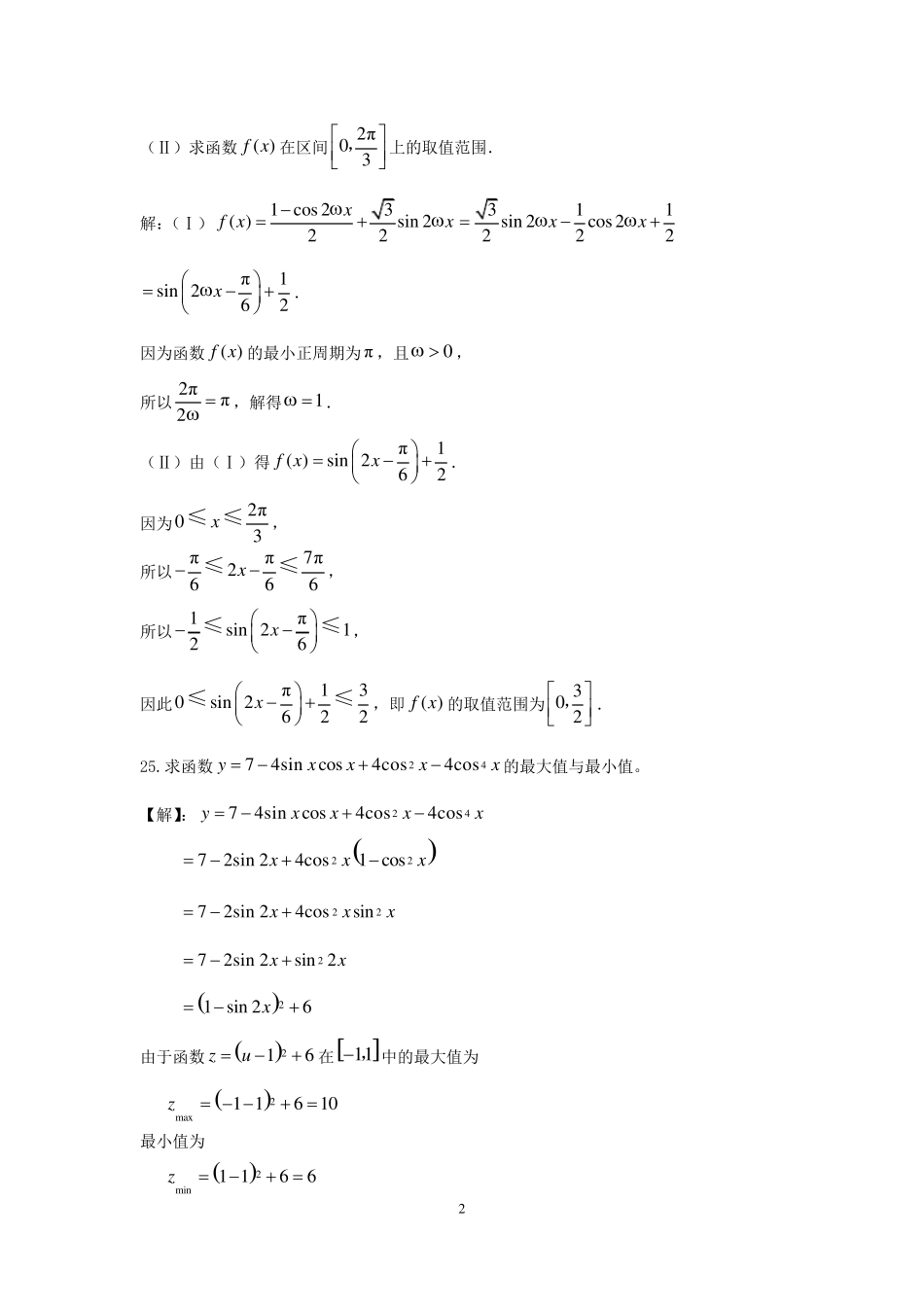
1 22.设ABC△的内角ABC,,所对的边长分别为abc,,,且3coscos5aBbAc. (Ⅰ)求tancotAB 的值; (Ⅱ)求tan()AB的最大值. 解析:(Ⅰ)在ABC△中,由正弦定理及3coscos5aBbAc 可得3333sincossincossinsin()sincoscossin5555ABBACABABAB 即sincos4cossinABAB,则tancot4AB ; (Ⅱ)由tancot4AB 得tan4tan0AB 2tantan3tan3tan()1tantan14tancot4tanABBABABBBB≤34 当且仅当14tancot ,tan,tan22BBBA时,等号成立, 故当1tan2,tan2AB时,tan()AB的最大值为34 . 23.在ABC△中,5cos13B  , 4cos5C . (Ⅰ)求sin A 的值; (Ⅱ)设ABC△的面积332ABCS△,求BC 的长. 解: (Ⅰ)由5cos13B  ,得 12sin13B , 由4cos5C ,得 3sin5C . 所以33sinsin()sincoscossin65ABCBCBC. ··········· 5 分 (Ⅱ)由332ABCS△得133sin22ABACA, 由(Ⅰ)知33sin65A , 故65ABAC, ···························· 8 分 又sin20sin13ABBACABC, 故 2206513 AB ,132AB . 所以sin11sin2ABABCC. ························ 10 分 24.已知函数2π( )sin3sinsin2f xxxx(0 )的最小正周期为π . (Ⅰ)求 的值; 2 (Ⅱ)求函数( )f x 在区间2π0 3,上的取值范围. 解:(Ⅰ) 1 cos 23( )sin 222xf xx311sin 2cos 2222xx π1sin 262x. 因为函数( )f x 的最小正周期为 π ,且0 , 所以 2ππ2 ,解得1 . (Ⅱ)由(Ⅰ)得π1( )sin 262f xx. 因为2π03x≤ ≤, 所以ππ7π2666x≤≤, 所以1πsin 2126x≤≤ , 因此π130sin 2622x≤≤,即( )f x 的取值范围为30 2,. 25.求函数2474sincos4cos4cosyxxxx的最大值与最小值。 【解】:2474sincos4cos4cosyxxxx 2272sin 24cos1 cosxxx 2272sin 24cossinxxx 272sin 2sin 2xx 21 sin 26x 由于函数216zu在11 ,中的最大值为 2max1 1610z...

1、当您付费下载文档后,您只拥有了使用权限,并不意味着购买了版权,文档只能用于自身使用,不得用于其他商业用途(如 [转卖]进行直接盈利或[编辑后售卖]进行间接盈利)。
2、本站所有内容均由合作方或网友上传,本站不对文档的完整性、权威性及其观点立场正确性做任何保证或承诺!文档内容仅供研究参考,付费前请自行鉴别。
3、如文档内容存在违规,或者侵犯商业秘密、侵犯著作权等,请点击“违规举报”。

碎片内容

三角函数部分高考题

小辰7+ 关注
实名认证
内容提供者

出售各种资料和文档

相关文档

确认删除?
VIP
微信客服
  • 扫码咨询
会员Q群
  • 会员专属群点击这里加入QQ群
客服邮箱
回到顶部