电脑桌面
添加小米粒文库到电脑桌面
安装后可以在桌面快捷访问

上海2000安装定额VIP专享

上海2000安装定额_第1页
1/69
上海2000安装定额_第2页
2/69
上海2000安装定额_第3页
3/69
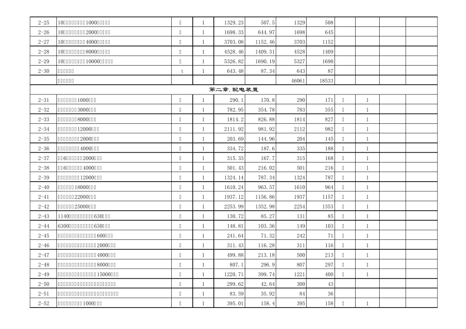
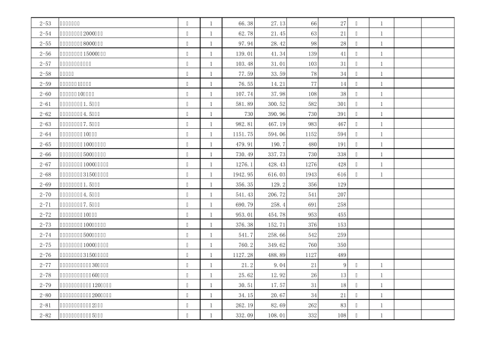
基价 人工 总价人工费单位数量单价材料总价2-1油浸10KV电力变压器安装,250KVA以下台1727.82238.5728239台12-2油浸10KV电力变压器安装,500KVA以下台1849.16305.95849306台12-3油浸10KV电力变压器安装,1000KVA以下台11241.01523.781241524台12-4油浸10KV电力变压器安装,2000KVA以下台11525.12678.561525679台12-5油浸10KV电力变压器安装,4000KVA以下台12356.581222.4923571222台12-6油浸10KV电力变压器安装,8000KVA以下台14394.361792.7843941793台12-7油浸10KV电力变压器安装,10000KVA以下台14974.762151.4449752151台12-8干式变压器安装,100KVA以下台1393.32194.32393194台12-9干式变压器安装,250KVA以下台1417.56217.83418218台12-10干式变压器安装,500KVA以下台1508.36288.63508289台12-11干式变压器安装,800KVA以下台1597.28342.38597342台12-12干式变压器安装,1000KVA以下台1859.73378.04860378台12-13干式变压器安装,2000KVA以下台1989.24451.17989451台12-14干式变压器安装,2500KVA以下台11133.17541.351133541台12-1510KV消弧线圈安装,100KVA以下台1446.26196.38446196台12-1610KV消弧线圈安装,200KVA以下台1505.38235.14505235台12-1710KV消弧线圈安装,300KVA以下台1573.47281.66573282台12-1810KV消弧线圈安装,400KVA以下台1656.59305.69657306台12-1910KV消弧线圈安装,600KVA以下台1722.13349.1722349台12-2010KV消弧线圈安装,800KVA以下台1906.44414.22906414台12-2110KV消弧线圈安装,1600KVA以下台11260.72611.371261611台12-2210KV消弧线圈安装,2000KVA以下台11389.87707.241390707台12-2310KV变压器干燥,250KVA以下台1625.26260.986252612-2410KV变压器干燥,500KVA以下台1777.52352.72778353第一章 变压器定额编号定额名称单位工程量建设单位:页 号:1/1安装工程预算表工程名称:电气设备安装工程安 装 费主 要 材 料 费2-2510KV变压器干燥,1000KVA以下台11329.23507.513295082-2610KV变压器干燥,2000KVA以下台11698.33644.9716986452-2710KV变压器干燥,4000KVA以下台13703.081152.46370311522-2810KV变压器干燥,8000KVA以下台14528.461409.31452814092-2910KV变压器干燥,10000KVA以下台15326.821690.19532716902-30变压器油过滤t1643.4887.3464387 分部小计46061185332-31油断路器安装,1000A以下台1290.1170.8290171台12-32油断路器安装,3000A以下台1782.95354.78783355台12-33油断路器安装,8000A以下台11814.2826.8818148...

1、当您付费下载文档后,您只拥有了使用权限,并不意味着购买了版权,文档只能用于自身使用,不得用于其他商业用途(如 [转卖]进行直接盈利或[编辑后售卖]进行间接盈利)。
2、本站所有内容均由合作方或网友上传,本站不对文档的完整性、权威性及其观点立场正确性做任何保证或承诺!文档内容仅供研究参考,付费前请自行鉴别。
3、如文档内容存在违规,或者侵犯商业秘密、侵犯著作权等,请点击“违规举报”。

碎片内容

上海2000安装定额

确认删除?
VIP
微信客服
  • 扫码咨询
会员Q群
  • 会员专属群点击这里加入QQ群
客服邮箱
回到顶部