电脑桌面
添加小米粒文库到电脑桌面
安装后可以在桌面快捷访问

不可压缩流体动力学基础习题答案

不可压缩流体动力学基础习题答案_第1页
1/13
不可压缩流体动力学基础习题答案_第2页
2/13
不可压缩流体动力学基础习题答案_第3页
3/13
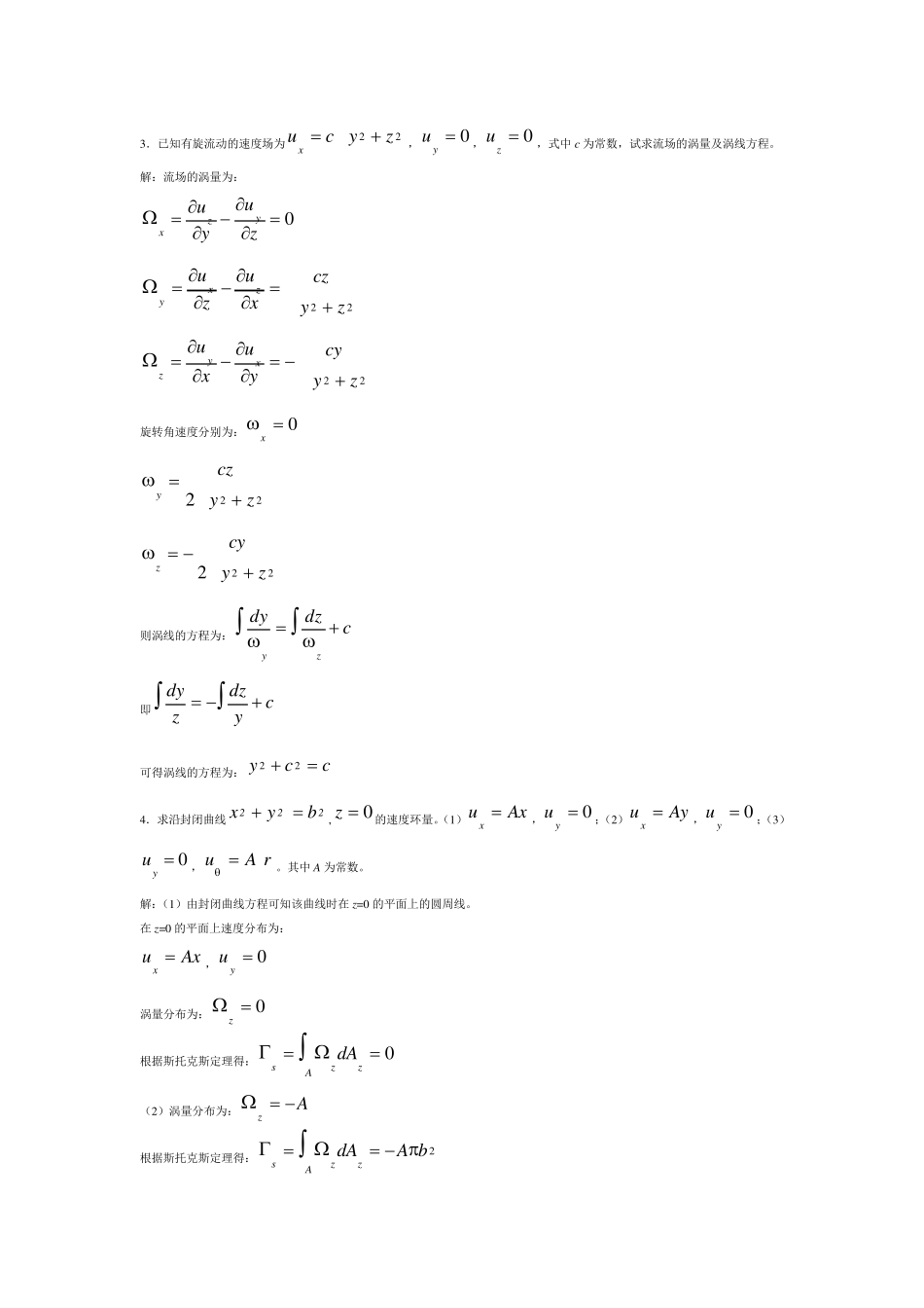
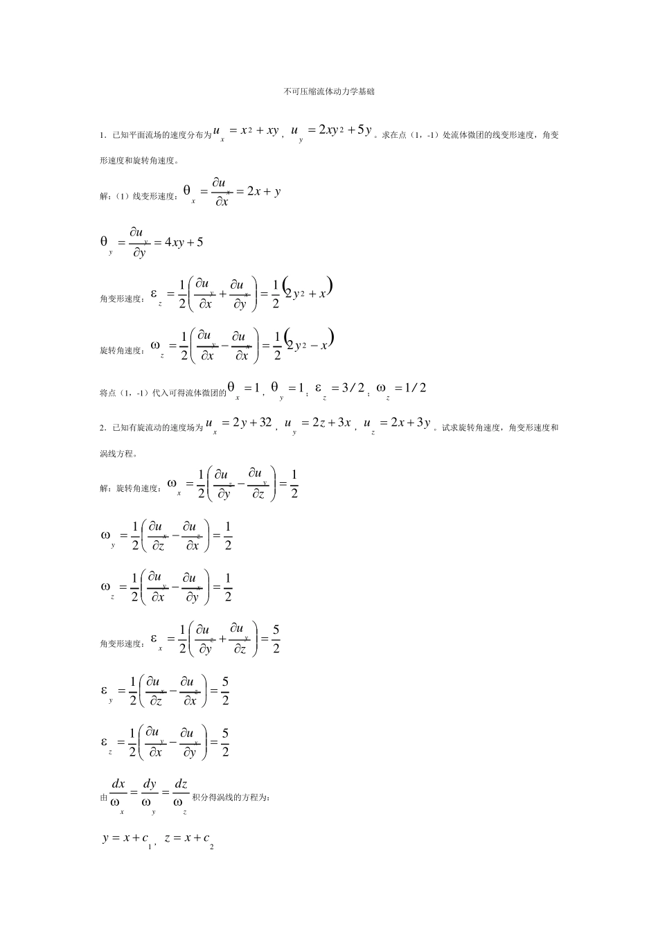
不可压缩流体动力学基础 1 .已知平面流场的速度分布为xyxux2,yxyuy522 。求在点(1 ,-1 )处流体微团的线变形速度,角变形速度和旋转角速度。 解:(1 )线变形速度:yxxuxx2 54xyyuyy 角变形速度:xyyuxuxyz222121 旋转角速度:xyxuxuxyz222121 将点(1 ,-1 )代入可得流体微团的 1x, 1y;23 /z ;21 /z  2 .已知有旋流动的速度场为322yux,xzuy32,yxuz32。试求旋转角速度,角变形速度和涡线方程。 解:旋转角速度:2121zuyuyzx 2121xuzuzxy 2121yuxuxyz 角变形速度:2521zuyuyzx 2521xuzuzxy 2521yuxuxyz 由zyxdzdydx积分得涡线的方程为: 1cxy,2cxz 3.已知有旋流动的速度场为22zycux, 0yu, 0zu,式中c 为常数,试求流场的涡量及涡线方程。 解:流场的涡量为: 0zuyuyzx 22zyczxuzuzxy 22zycyyuxuxyz 旋转角速度分别为:0x 222zyczy 222zycyz 则涡线的方程为:cdzdyzy  即cydzzdy  可得涡线的方程为:ccy22 4.求沿封闭曲线2 22by x,0z的速度环量。(1)Axux , 0yu;(2)Ayux , 0yu;(3)0yu,rAu。其中A 为常数。 解:(1)由封闭曲线方程可知该曲线时在 z=0 的平面上的圆周线。 在 z=0 的平面上速度分布为: Axux , 0yu 涡量分布为:0z 根据斯托克斯定理得:0 zAzsdA (2)涡量分布为:Az 根据斯托克斯定理得:2bAdAzAzs  (3)由于 0ru,rAu 则转化为直角坐标为:22bAyyrAux,2bAxuy  则22bAyuxuxyz 根据斯托克斯定理得:AdAzAzs2  5.试确定下列各流场是否满足不可压缩流体的连续性条件? 答:不可压缩流体连续性方程 直角坐标:0zuyuxuzyx (1) 柱面坐标:0zurururuzrr (2) (1)0,,zyxukyuk...

1、当您付费下载文档后,您只拥有了使用权限,并不意味着购买了版权,文档只能用于自身使用,不得用于其他商业用途(如 [转卖]进行直接盈利或[编辑后售卖]进行间接盈利)。
2、本站所有内容均由合作方或网友上传,本站不对文档的完整性、权威性及其观点立场正确性做任何保证或承诺!文档内容仅供研究参考,付费前请自行鉴别。
3、如文档内容存在违规,或者侵犯商业秘密、侵犯著作权等,请点击“违规举报”。

碎片内容

不可压缩流体动力学基础习题答案

小辰6+ 关注
实名认证
内容提供者

出售各种资料和文档

确认删除?
VIP
微信客服
  • 扫码咨询
会员Q群
  • 会员专属群点击这里加入QQ群
客服邮箱
回到顶部