电脑桌面
添加小米粒文库到电脑桌面
安装后可以在桌面快捷访问

偏微分方程数值解法答案

偏微分方程数值解法答案_第1页
1/9
偏微分方程数值解法答案_第2页
2/9
偏微分方程数值解法答案_第3页
3/9
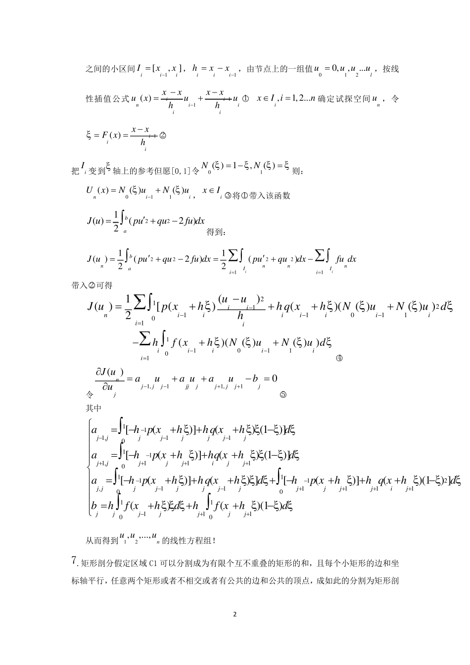
1 1. 课本2p 有证明 2. 课本81 2,pp有说明 3. 课本1 52 0,pp有说明 4. Rit2 法,设nu 是u 的n 维子空间,12,...n  是nu 的一组基底,nu 中的任一元素nu 可表为1nniiiuc ,则,1111()(,)( ,)(,)( ,)22jnnnnnnijijji jjJ ua u uf uac ccf 是12,...nc cc 的二次函数,(,)(,)ijjiaa  ,令()0njJ uc,从而得到12,...nc cc 满足1(,)( ,),1 ,2 ...nijijiacfjn ,通过解线性方程组,求的ic ,代入1nniiiuc ,从而得到近似解nu 的过程称为Rit2 法 简而言之,Rit2 法:为得到偏微分方程的有穷维解,构造了一个近似解,1nniiiuc ,利用,1111()(,)( ,)(,)( ,)22jnnnnnnijijji jjJ ua u uf uac ccf 确定ic ,求得近似解nu 的过程 Galerkin 法:为求得1nniiiuc 形式的近似解,在系数ic 使nu 关于nVu,满足(,)( ,)na u Vf V,对任意nVu或(取,1jVjn)1(,)( ,),1 ,2 ...nijijiacfjn 的情况下确定ic ,从而得到近似解1nniiiuc 的过程称Galerkin 法为 Rit2-Galerkin 法方程:1(,)( ,)nijijiacf  5. 有限元法:将偏微分方程转化为变分形式,选定单元的形状,对求解域作剖分,进而构造基函数或单元形状函数,形成有限元空间,将偏微分方程转化成了有限元方程,利用有效的有限元方程的解法,给出偏微分方程近似解的过程称为有限元法。 6. 解:对求解区间进行网格剖分,节点01 ......inaxxxxb得到相邻节点1 ,iixx2 之间的小区间1[,]iiiIxx,1iiihxx,由节点上的一组值0120,,...luu uu,按线性插值公式11( )iiniiiixxxxuxuuhh○1 ,1,2...ixI in确定试探空间nu ,令1( )iiixxF xh○2 把iI 变到 轴上的参考但愿[0,1]令01( )1,( )NN 则: 011( )( )( )niiUxNuNu,ixI○3 将○1 带入该函数 221( )(2)2baJ upuqufu dx得到: 22221111()(2)()22iinnbnnnnaIIiiJ upuqufu dxpuqudxfu dx 带入○2 可得 21211101101()1()[ ()()(( )( ) )2niiniiiiiiiiiuuJ up xhh q xhNuNudh 1101101()(( )( ))niiiiiihf xh...

1、当您付费下载文档后,您只拥有了使用权限,并不意味着购买了版权,文档只能用于自身使用,不得用于其他商业用途(如 [转卖]进行直接盈利或[编辑后售卖]进行间接盈利)。
2、本站所有内容均由合作方或网友上传,本站不对文档的完整性、权威性及其观点立场正确性做任何保证或承诺!文档内容仅供研究参考,付费前请自行鉴别。
3、如文档内容存在违规,或者侵犯商业秘密、侵犯著作权等,请点击“违规举报”。

碎片内容

偏微分方程数值解法答案

您可能关注的文档

确认删除?
VIP
微信客服
  • 扫码咨询
会员Q群
  • 会员专属群点击这里加入QQ群
客服邮箱
回到顶部