电脑桌面
添加小米粒文库到电脑桌面
安装后可以在桌面快捷访问

光纤网络接续及设备配接资料管理表

光纤网络接续及设备配接资料管理表_第1页
1/116
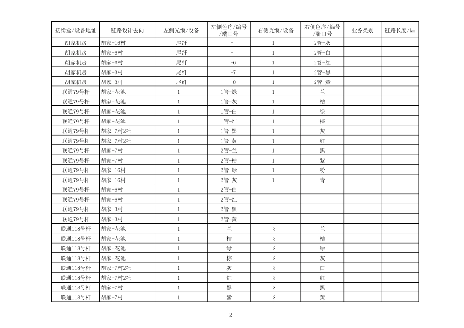
光纤网络接续及设备配接资料管理表_第2页
2/116
光纤网络接续及设备配接资料管理表_第3页
3/116
接续盒/设备地址链路设计去向 左侧光缆/设备左侧色序/编号/端口号 右侧光缆/设备右侧色序/编号/端口号 业务类别链路长度/km胡家机房光放大器1out分路器1in胡家机房光发射机1out分路器2in胡家机房胡家-花池分路器1out1-18%尾纤3-1电视信号 9.752胡家机房胡家-花池收发器1尾纤3-2数据9.752胡家机房胡家-花池尾纤3-39.752胡家机房胡家-花池尾纤3-49.752胡家机房胡家-7村2社分路器2out5-32%尾纤3-5电视信号 6.323胡家机房胡家-7村2社尾纤3-66.323胡家机房胡家-7村分路器2out4-28%尾纤4-1电视信号 6.022胡家机房胡家-7村尾纤4-26.022胡家机房胡家-16村分路器2out3-23%尾纤4-3电视信号 4.988胡家机房胡家-16村尾纤4-44.988胡家机房胡家-6村分路器2out2-18%尾纤4-5电视信号 3.762胡家机房胡家-6村尾纤4-63.762胡家机房胡家-3村分路器2out1-13%尾纤4-7电视信号 2.386胡家机房胡家-3村尾纤4-82.386胡家机房胡家-花池尾纤3-114B1管-绿胡家机房胡家-花池尾纤3-214B1管-灰胡家机房胡家-花池尾纤3-314B1管-白胡家机房胡家-花池尾纤3-414B1管-红胡家机房胡家-7村2社尾纤3-514B1管-黑胡家机房胡家-7村2社尾纤3-614B1管-黄胡家机房胡家-7村尾纤4-114B2管-兰胡家机房胡家-7村尾纤4-214B2管-桔胡家机房胡家-16村尾纤4-314B2管-绿光纤网络接续及光设备配接表1 接续盒/设备地址链路设计去向 左侧光缆/设备左侧色序/编号/端口号 右侧光缆/设备右侧色序/编号/端口号 业务类别链路长度/km胡家机房胡家-16村尾纤4-414B2管-灰胡家机房胡家-6村尾纤4-514B2管-白胡家机房胡家-6村尾纤4-614B2管-红胡家机房胡家-3村尾纤4-714B2管-黑胡家机房胡家-3村尾纤4-814B2管-黄联通79号杆胡家-花池14B1管-绿10B兰联通79号杆胡家-花池14B1管-灰10B桔联通79号杆胡家-花池14B1管-白10B绿联通79号杆胡家-花池14B1管-红10B棕联通79号杆胡家-7村2社14B1管-黑10B灰联通79号杆胡家-7村2社14B1管-黄10B红联通79号杆胡家-7村14B2管-兰10B黑联通79号杆胡家-7村14B2管-桔10B紫联通79号杆胡家-16村14B2管-绿10B粉联通79号杆胡家-16村14B2管-灰10B青联通79号杆胡家-6村14B2管-白联通79号杆胡家-6村14B2管-红联通79号杆胡家-3村14B2管-黑联通79号杆胡家-3村14B2管-黄联通118号杆胡家-花池10B兰8B兰联通118号杆胡家-花池10B桔8B桔联通118号杆胡家-花池10B绿8B绿联通118号杆胡家-花池10B棕8B灰联通118号杆胡家-7村2社10B灰8B白联通118号杆胡家-7村2社10B红8B红联通118号杆胡家-7村10B黑8B黑联...

1、当您付费下载文档后,您只拥有了使用权限,并不意味着购买了版权,文档只能用于自身使用,不得用于其他商业用途(如 [转卖]进行直接盈利或[编辑后售卖]进行间接盈利)。
2、本站所有内容均由合作方或网友上传,本站不对文档的完整性、权威性及其观点立场正确性做任何保证或承诺!文档内容仅供研究参考,付费前请自行鉴别。
3、如文档内容存在违规,或者侵犯商业秘密、侵犯著作权等,请点击“违规举报”。

碎片内容

光纤网络接续及设备配接资料管理表

确认删除?
VIP
微信客服
  • 扫码咨询
会员Q群
  • 会员专属群点击这里加入QQ群
客服邮箱
回到顶部