电脑桌面
添加小米粒文库到电脑桌面
安装后可以在桌面快捷访问

华科大辜承林主编《电机学》课后习题答案

华科大辜承林主编《电机学》课后习题答案_第1页
1/73
华科大辜承林主编《电机学》课后习题答案_第2页
2/73
华科大辜承林主编《电机学》课后习题答案_第3页
3/73
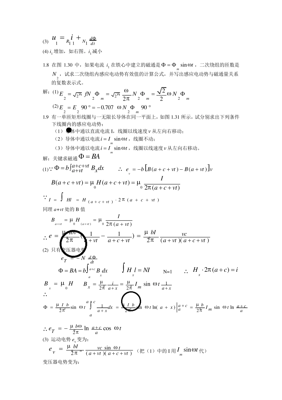
第 1 章 导论 1.1 电机和变压器的磁路常采用什么材料制成?这些材料各有哪些主要特性? 解:磁路:硅钢片。 特点:导磁率高。 电路:紫铜线。 特点:导电性能好,电阻损耗小. 电机:热轧硅钢片, 永磁材料 铁氧体 稀土钴 钕铁硼 变压器:冷轧硅钢片。 1.2 磁滞损耗和涡流损耗是什么原因引起的?它们的大小与哪些因素有关? 解:磁滞损耗:铁磁材料在交变磁场作用下反复磁化,磁畴会不停转动,相互间产生摩擦,消耗能量,产生功率损耗。 与磁场交变频率 f,磁通密度 B,材料,体积,厚度有关。 涡流损耗:由电磁感应定律,硅钢片中有围绕磁通呈涡旋状的感应电动势和电流产生叫涡流,涡流在其流通路径上的等效电阻中产生的损耗叫涡流损耗。 与磁场交变频率 f,磁通密度,材料,体积,厚度有关。 1.3 变压器电动势、运动电动势产生的原因有什么不同?其大小与哪些因素有关? 解:变压器电势:磁通随时间变化而在线圈中产生的感应电动势4.44mEfN。 运动电势:线圈与磁场间的相对运动而产生的 eT 与磁密 B,运动速度 v,导体长度 l,匝数N 有关。 1.6 自感系数的大小与哪些因素有关?有两个匝数相等的线圈,一个绕在闭合铁心上,一个绕在木质材料上,哪一个自感系数大?哪一个自感系数是常数?哪一个自感系数是变数,随什么原因变化? 解:自感电势:由于电流本身随时间变化而在线圈内感应的电势叫自感电势。dLed tL 对空心线圈:LLi  所以dieLLdt  自感:2LLNNmmiiiLNiN Aml  所以,L 的大小与匝数平方、磁导率 µ、磁路截面积 A、磁路平均长度 l 有关。 闭合铁心µµ 0,所以闭合铁心的自感系数远大于木质材料。因为µ 0 是常数,所以木质材料的自感系数是常数,铁心材料的自感系数是随磁通密度而变化。 1.7 在图1.30 中,若一次绕组外加正弦电压 u1、绕组电阻 R1、电流 i1 时,问 (1)绕组内为什么会感应出电动势? (2)标出磁通、一次绕组的自感电动势、二次绕组的互感电动势的正方向; (3)写出一次侧电压平衡方程式; (4)当电流 i1 增加或减小时,分别标出两侧绕组的感应电动势的实际方向。 解:(1) u1 为正弦电压,∴电流 i1 也随时间变化,由 i1 产生的磁通随时间变化,由电磁感应定律知ddteN 产生感应电动势. (2) 磁通方向:右手螺旋定则,全电流定律1e 方向:阻止线圈中磁链的变化,符合右手螺旋...

1、当您付费下载文档后,您只拥有了使用权限,并不意味着购买了版权,文档只能用于自身使用,不得用于其他商业用途(如 [转卖]进行直接盈利或[编辑后售卖]进行间接盈利)。
2、本站所有内容均由合作方或网友上传,本站不对文档的完整性、权威性及其观点立场正确性做任何保证或承诺!文档内容仅供研究参考,付费前请自行鉴别。
3、如文档内容存在违规,或者侵犯商业秘密、侵犯著作权等,请点击“违规举报”。

碎片内容

华科大辜承林主编《电机学》课后习题答案

您可能关注的文档

确认删除?
VIP
微信客服
  • 扫码咨询
会员Q群
  • 会员专属群点击这里加入QQ群
客服邮箱
回到顶部