电脑桌面
添加小米粒文库到电脑桌面
安装后可以在桌面快捷访问

初中数学中考计算题复习最全含答案解析

初中数学中考计算题复习最全含答案解析_第1页
1/13
初中数学中考计算题复习最全含答案解析_第2页
2/13
初中数学中考计算题复习最全含答案解析_第3页
3/13
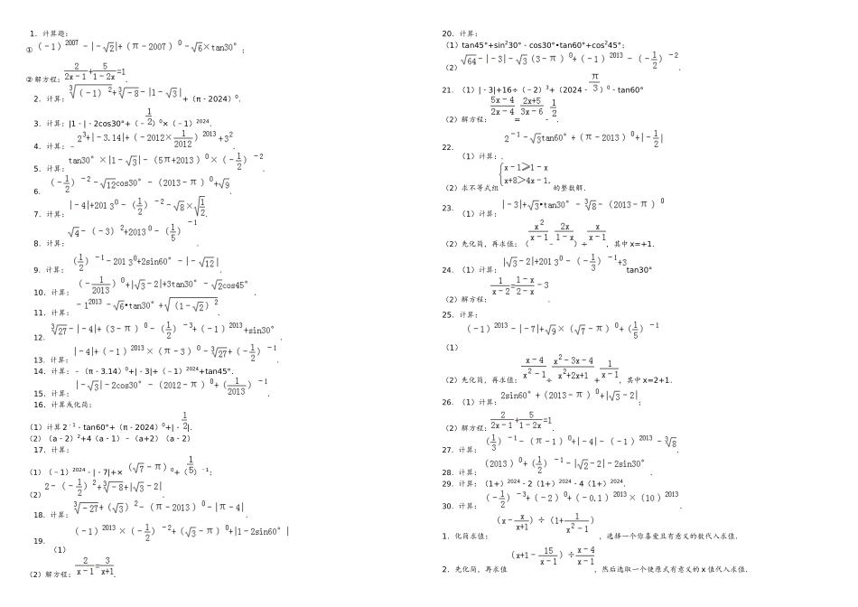
1.计算题:①;② 解方程:. 2.计算:+(π2024﹣)0. 3.计算:|1|2cos30°+﹣ ﹣(﹣ )0×(﹣1)2024. 4.计算:﹣. 5.计算:.6.. 7.计算:. 8.计算:.9.计算:. 10.计算:. 11.计算:.12..13.计算:. 14.计算:﹣(π3.14﹣)0+|3|+﹣(﹣1)2024+tan45°. 15.计算:.16.计算或化简:(1)计算 21﹣tan60°+﹣(π2024﹣)0+|﹣ |.(2)(a2﹣ )2+4(a1﹣ )﹣(a+2)(a2﹣ ) 17.计算:(1)(﹣1)2024|7|+×﹣ ﹣0+( )﹣1;(2).18.计算:.19.(1)(2)解方程:.20.计算:(1)tan45°+sin230°cos30°•tan60°+cos﹣245°;(2).21.(1)|3|+16÷﹣(﹣2)3+(2024﹣)0tan60°﹣(2)解方程:=﹣ .22.(1)计算:.(2)求不等式组的整数解.23.(1)计算:(2)先化简,再求值:(﹣)÷,其中 x=+1.24.(1)计算:tan30°(2)解方程:.25.计算:(1)(2)先化简,再求值:÷+,其中 x=2+1.26.(1)计算:; (2)解方程:.27.计算:.28.计算:.29.计算:(1+)20242﹣ (1+)20244﹣ (1+)2024.30.计算:.1.化简求值:,选择一个你喜爱且有意义的数代入求值.2.先化简,再求值,然后选取一个使原式有意义的 x 值代入求值.精品文档---下载后可任意编辑3.先化简再求值:选一个使原代数式有意义的数代入中求值.4.先化简,再求值:,请选择一个你喜爱的数代入求值.5.(2024•红河州)先化简再求值:.选一个使原代数式有意义的数代入求值.6.先化简,再求值:(1﹣)÷,选择一个你喜爱的数代入求值.7.先化简,再求值:(﹣1)÷,选择自己喜爱的一个 x 求值.8.先化简再求值:化简,然后在 0,1,2,3 中选一个你认为合适的值,代入求值.9.化简求值(1)先化简,再求值,选择你喜爱的一个数代入求值.(2)化简,其中 m=5.10.化简求值题:(1)先化简,再求值:,其中 x=3.(2)先化简,再求值:,请选一个你喜爱且使式子有意义的数字代入求值.(3)先化简,再求值:,其中 x=2.(4)先化简,再求值:,其中 x=1﹣ .11.(2024•巴中)化简求值:,其中 a=.12.(2024•临沂)先化简,再求值:()÷,其中 a=2.13.先化简:,再选一个恰当的 x 值代入求值.14.化简求值:(﹣1)÷,其中 x=2.15.(2024•綦江县)先化简,再求值,,其中 x=+1.16.(2024•随州)先化简,再求值:,其中 x=...

1、当您付费下载文档后,您只拥有了使用权限,并不意味着购买了版权,文档只能用于自身使用,不得用于其他商业用途(如 [转卖]进行直接盈利或[编辑后售卖]进行间接盈利)。
2、本站所有内容均由合作方或网友上传,本站不对文档的完整性、权威性及其观点立场正确性做任何保证或承诺!文档内容仅供研究参考,付费前请自行鉴别。
3、如文档内容存在违规,或者侵犯商业秘密、侵犯著作权等,请点击“违规举报”。

碎片内容

初中数学中考计算题复习最全含答案解析

文旅传媒+ 关注
实名认证
内容提供者

传播文化,成就未来

相关文档

确认删除?
VIP
微信客服
  • 扫码咨询
会员Q群
  • 会员专属群点击这里加入QQ群
客服邮箱
回到顶部