电脑桌面
添加小米粒文库到电脑桌面
安装后可以在桌面快捷访问

定积分计算技巧

定积分计算技巧_第1页
1/6
定积分计算技巧_第2页
2/6
定积分计算技巧_第3页
3/6
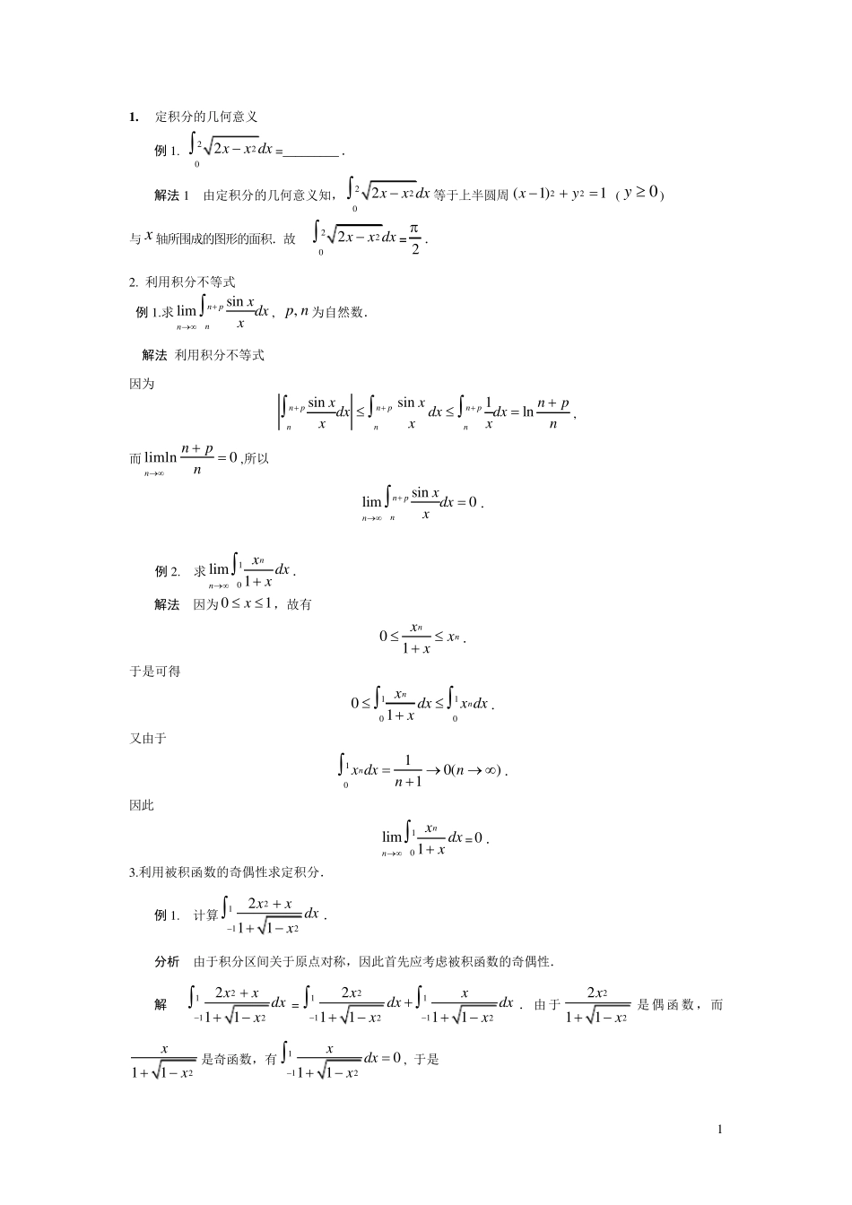
1 1. 定积分的几何意义 例 1. 2202xx dx=_________. 解法 1 由定积分的几何意义知,2202xx dx等于上半圆周22(1)1xy (0y ) 与 x 轴所围成的图形的面积.故2202xx dx= 2. 2. 利用积分不等式 例 1.求sinlimnpnnxdxx, ,p n 为自然数. 解法 利用积分不等式 因为 sinsin1lnnpnpnpnnnxxnpdxdxdxxxxn, 而 limln0nnpn,所以 sinlim0npnnxdxx. 例 2. 求10lim1nnxdxx. 解法 因为01x ,故有 01nnxxx. 于是可得 110001nnxdxx dxx. 又由于 1010()1nx dxnn . 因此 10lim1nnxdxx= 0 . 3.利用被积函数的奇偶性求定积分. 例 1. 计算2112211xx dxx. 分析 由于积分区间关于原点对称,因此首先应考虑被积函数的奇偶性. 解 2112211xx dxx=211112221111xxdxdxxx.由于22211xx是偶函数,而211xx是奇函数,有112011xdxx, 于是 2 2112211xx dxx=2102411xdxx=22120(11)4xxdxx=11200441dxx dx 由定积分的几何意义可知12014x dx, 故 2111022444411xx dxdxx. 例2. 计算. 解 虽然在上即不是奇函数,也不是偶函数,更不能直接求出原函数,但我们可以利用得 原式 . 4.设 f(x)为周期函数且连续,周期为 T,则. 事实上 由于于是 例1.设表示距离 x 最近整数的距离,计算 解 由且为周期函数,周期为 1,于是 5 .利用积分中值定理 例1. 求sinlimnpnnxdxx, ,p n 为自然数. 3 解法 利用积分中值定理 设 sin( )xf xx, 显然( )f x 在[ ,]n np上连续, 由积分中值定理得 sinsinnpnxdxpx, [ ,]n np , 当n   时,    , 而sin1  , 故 sinsinlimlim0npnnxdxpx. 例2. 求10lim1nnxdxx. 解法 由积分中值定理 ( ) ( )( )( )bbaaf x g x dxfg x dx可知 101nxdxx=1011nx dx ,01 . 又 101limlim01nnnx dxn且11121 , 故 10lim01nnxdxx. 6 .利用适当变量变换求定积分 例1. 设f(x)在[0,1]上连续,计算 解 设于是 得 例2....

1、当您付费下载文档后,您只拥有了使用权限,并不意味着购买了版权,文档只能用于自身使用,不得用于其他商业用途(如 [转卖]进行直接盈利或[编辑后售卖]进行间接盈利)。
2、本站所有内容均由合作方或网友上传,本站不对文档的完整性、权威性及其观点立场正确性做任何保证或承诺!文档内容仅供研究参考,付费前请自行鉴别。
3、如文档内容存在违规,或者侵犯商业秘密、侵犯著作权等,请点击“违规举报”。

碎片内容

定积分计算技巧

小辰9+ 关注
实名认证
内容提供者

出售各种资料和文档

确认删除?
VIP
微信客服
  • 扫码咨询
会员Q群
  • 会员专属群点击这里加入QQ群
客服邮箱
回到顶部