电脑桌面
添加小米粒文库到电脑桌面
安装后可以在桌面快捷访问

实验一_数字基带传输实验_实验总结报告

实验一_数字基带传输实验_实验总结报告_第1页
1/27
实验一_数字基带传输实验_实验总结报告_第2页
2/27
实验一_数字基带传输实验_实验总结报告_第3页
3/27
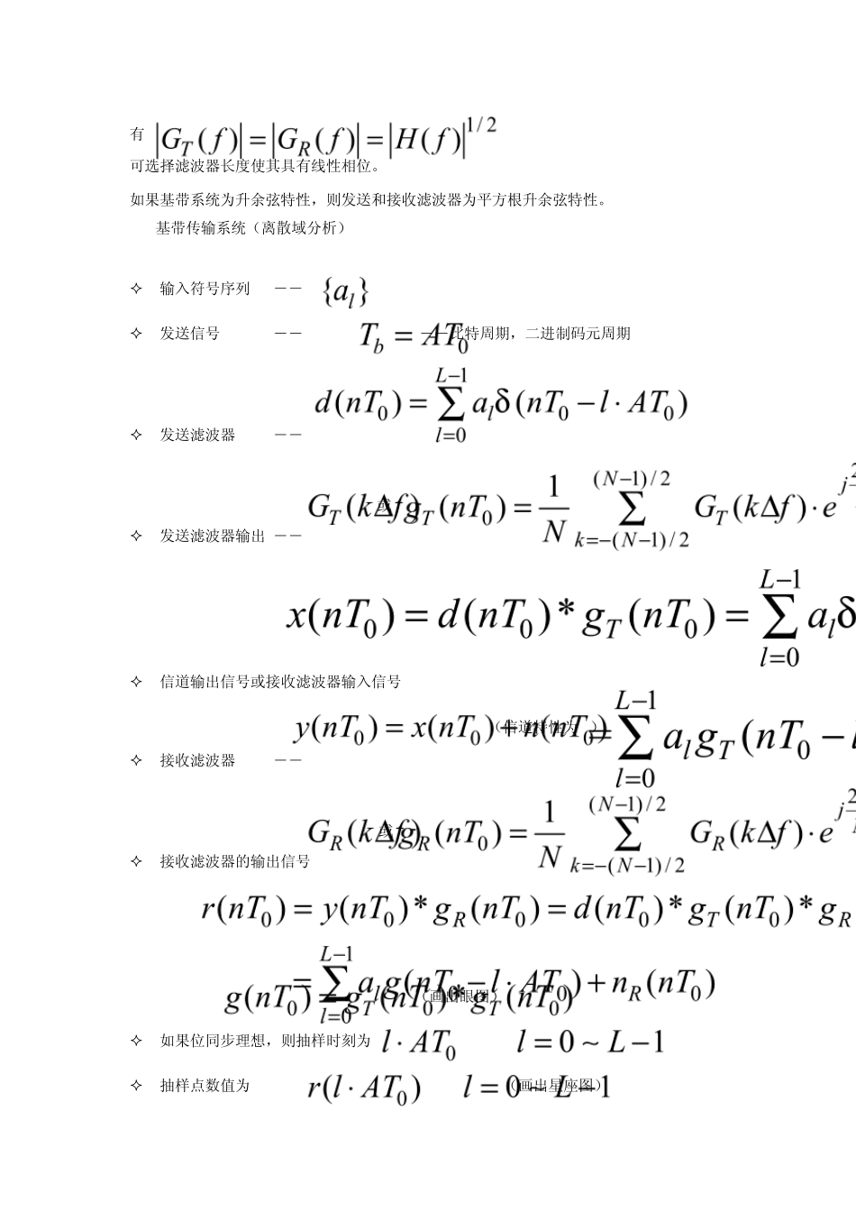
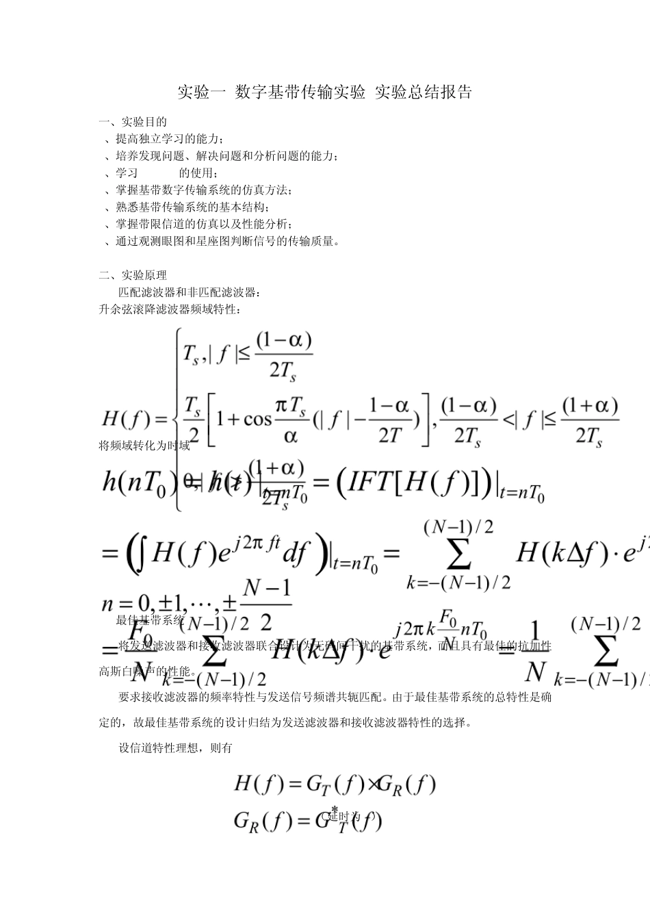
实验一 数字基带传输实验 实验总结报告 一、实验目的 1、提高独立学习的能力; 2、培养发现问题、解决问题和分析问题的能力; 3、学习Matlab 的使用; 4、掌握基带数字传输系统的仿真方法; 5、熟悉基带传输系统的基本结构; 6、掌握带限信道的仿真以及性能分析; 7、通过观测眼图和星座图判断信号的传输质量。 二、实验原理 1. 匹配滤波器和非匹配滤波器: 升余弦滚降滤波器频域特性: 将频域转化为时域 2. 最佳基带系统 将发送滤波器和接收滤波器联合设计为无码间干扰的基带系统,而且具有最佳的抗加性高斯白噪声的性能。 要求接收滤波器的频率特性与发送信号频谱共轭匹配。由于最佳基带系统的总特性是确定的,故最佳基带系统的设计归结为发送滤波器和接收滤波器特性的选择。 设信道特性理想,则有 (延时为 0) 有 可选择滤波器长度使其具有线性相位。 如果基带系统为升余弦特性,则发送和接收滤波器为平方根升余弦特性。 2. 基带传输系统(离散域分析)  输入符号序列 ――  发送信号 ―― ――比特周期,二进制码元周期  发送滤波器 ―― 或  发送滤波器输出 ――  信道输出信号或接收滤波器输入信号 (信道特性为1)  接收滤波器 ―― 或  接收滤波器的输出信号 (画出眼图)  如果位同步理想,则抽样时刻为  抽样点数值为 (画出星座图)  判决为 其中若为最佳基带传输系统,则发送滤波器和接收滤波器都为根升余弦滤波器,当采用非匹配滤波器时,发送滤波器由升余弦滤波器基带特性实现,接收滤波器为直通。 三、实验内容 1.通过匹配滤波和非匹配滤波方式,得到不同的滚降系数下发送滤波器的时域波形和频率特性。 实验程序: (1)非匹配情况下: 升余弦滚降滤波器的模块函数(频域到时域的转换) 频率抽样法: function [Hf,ht]=f_unmatch(alpha,Ts,N,F0) k=[-(N-1)/2:(N-1)/2]; f=F0/N*k; for i=1:N; if (abs(f(i))<=(1-alpha)/(2*Ts)) Hf(i)=Ts; elseif(abs(f(i))<=(1+alpha)/(2*Ts)) Hf(i)=Ts/2*(1+cos(pi*Ts/alpha*(abs(f(i))-(1-alpha)/(2*Ts)))); else Hf(i)=0; end; end; 主函数 alpha=input('alpha=');%输入不同的滚降系数值 N=31;%序列长度 Ts=4; F0=1;%抽样频率 n=[-(N-1)/2:(N-1)/2]; k=[-(N-1)/2:(N-1)/2]; f=F0/N*k; Hf=zeros(1,N); Hf=f_unmatch(alpha,Ts,N,F0); ht=1/N*Hf*exp(j*2*pi/N*k'*n);%非匹配滤...

1、当您付费下载文档后,您只拥有了使用权限,并不意味着购买了版权,文档只能用于自身使用,不得用于其他商业用途(如 [转卖]进行直接盈利或[编辑后售卖]进行间接盈利)。
2、本站所有内容均由合作方或网友上传,本站不对文档的完整性、权威性及其观点立场正确性做任何保证或承诺!文档内容仅供研究参考,付费前请自行鉴别。
3、如文档内容存在违规,或者侵犯商业秘密、侵犯著作权等,请点击“违规举报”。

碎片内容

实验一_数字基带传输实验_实验总结报告

小辰5+ 关注
实名认证
内容提供者

出售各种资料和文档

确认删除?
VIP
微信客服
  • 扫码咨询
会员Q群
  • 会员专属群点击这里加入QQ群
客服邮箱
回到顶部