电脑桌面
添加小米粒文库到电脑桌面
安装后可以在桌面快捷访问

微积分定积分公式打印

微积分定积分公式打印_第1页
1/7
微积分定积分公式打印_第2页
2/7
微积分定积分公式打印_第3页
3/7
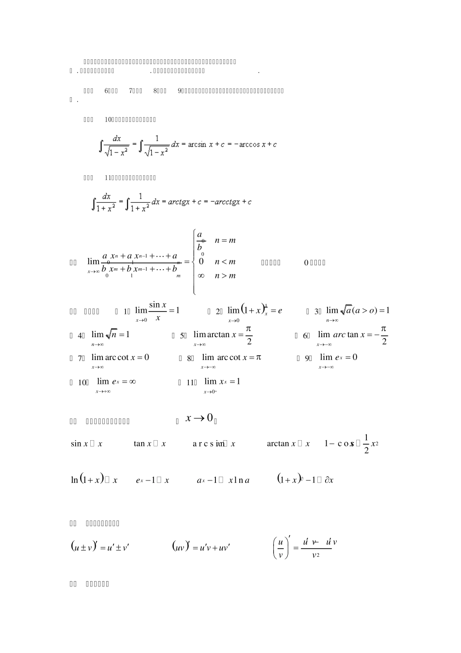
(1) 0C (2)  1xx (3)  aaaxxln (4)  xxee (5) axxaln1log (6) xx1ln (7) xxcossin (8)xxsincos (9) xx2sectan (10) xx2csccot (11) xxxtansecsec (12) xxxcotcsccsc (13) 211arcsinx (14) 211arccosxx (15) 211arctanxx (16) 211cotxxarc vuvu vuvuvu  2vvuvuvu    xxfxf (1)  cdx0 (2) )1(ln)1(111cxcxdxx (3) cadxaxaxln1 (4) cxxdxcossin (5) cxxdxsincos (6) cxxdxcoslntan (7) cxxdxsinlncot (8) cxxxdxtanseclnsec (9) cxxxdxcotcsclncsc (10) cxxxdx2sinsin41212 (11) cxxxdx2sincos41212 (12) cxxdxtansec2 (13) cxxdxcotcsc2 (14) cxdxxarctan211 (15)cdxaxaaxarctan1122 (16) cdxaxaxaaxln21122 (17) cxdxxarcsin211 (18)cdxaxxaarcsin221 (19) caxxdxax221ln22 (2) caxxdxax221ln22 (1) (2) (3) (4) (5) (6) (7) (8) (9) (10) (11) 对这些公式应正确熟记.可根据它们的特点分类来记. 公式(1)为常量函数0 的积分,等于积分常数. 公式(2)、(3)为幂函数 的积分,应分为与 . 当 时, , 积分后的函数仍是幂函数,而且幂次升高一次. 特别当 时,有 . 当 时, 公式(4)、(5)为指数函数的积分,积分后仍是指数函数,因为 ,故 ( , )式右边的 是在分母,不在分子,应记清. 当 时,有 . 是一个较特殊的函数,其导数与积分均不变. 应注意区分幂函数与指数函数的形式,幂函数是底为变量,幂为常数;指数函数是底为常数,幂为变量 .要加以区别,不要混淆.它们的不定积分所采用的公式不同. 公式(6)、(7)、(8)、(9)为关于三角函数的积分,通过后面的学习还会增加其他三角函数公式 . 公式(10)是一个关于无理函数的积分 公式(11)是一个关于有理函数的积分 一、00101101lim0nnnmmxmanmba xa xanmb xb xbnm...

1、当您付费下载文档后,您只拥有了使用权限,并不意味着购买了版权,文档只能用于自身使用,不得用于其他商业用途(如 [转卖]进行直接盈利或[编辑后售卖]进行间接盈利)。
2、本站所有内容均由合作方或网友上传,本站不对文档的完整性、权威性及其观点立场正确性做任何保证或承诺!文档内容仅供研究参考,付费前请自行鉴别。
3、如文档内容存在违规,或者侵犯商业秘密、侵犯著作权等,请点击“违规举报”。

碎片内容

微积分定积分公式打印

小辰8+ 关注
实名认证
内容提供者

出售各种资料和文档

相关文档

确认删除?
VIP
微信客服
  • 扫码咨询
会员Q群
  • 会员专属群点击这里加入QQ群
客服邮箱
回到顶部