电脑桌面
添加小米粒文库到电脑桌面
安装后可以在桌面快捷访问

微积分练习题

微积分练习题_第1页
1/6
微积分练习题_第2页
2/6
微积分练习题_第3页
3/6
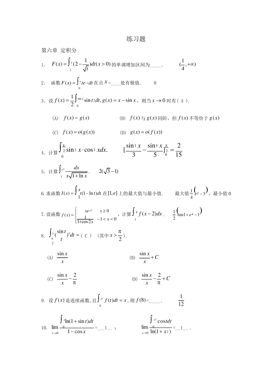
练习题 第六章 定积分 1. 11( )(2)(0)xF xdt xt的单调增加区间为_____. 1( ,)4  2. 函数0( )xtF xte dt 在点x =____处有极值. 0 3.设sin201( )sin, ( )sin2xf xt dt g xxx,则当0x 时有( A ). (A) ( ) ~( )f xg x (B) ( )f x 与( )g x 同阶,但( )f x 不等价于( )g x (C) ( )( ( ))f xo g x (D) ( )( ( ))g xo f x 4.计算35232200sinsin2sincos. []3515xxxx dx 5.计算211 lnedxxx. 2( 3 1) 6.求函数dtttxxI)ln1(1)(在],1[ e 上的最大值与最小值. 最大值 3412 e,最小值0 7.设函数01 2cos110 )(2xxxxexfx,计算41)2(dxxf  11tan214  e 8. 2sin()xt dtt( C ) (其中2x). (A) sin xx (B) sin xCx (C) sin2xx (D) sin2xCx 9. 设( )f x 是连续函数,且30( )x f t dtx,则(8)f=_____. 112 10. xdttxxcos1)sin1ln(lim00=___1__ ; )1ln(coslim2002xtdtxx=__1__ . 11. 设( )( )( )baddIf x dxf x dxfx dxdxdx存在,则(C ). (A) ( )If x (B) ( )If xC (C) IC (D) 0I  12. 已知 1(2),(2)02ff ,及20( )1f x dx ,则120(2 )x fx dx = 0__ . 13. 若sin0( )cosx f t dtxx (0)2x,则( )f x =__211xx___. 第五章 不定积分 1. 若( )( )F uf u,则(sin )cosfxxdx __ _. (sin )FxC 2. 若( )sin2,f x dxxC则( )f x =__ _. 2cos2x 3. 2( )1xf x dxCx,则sin(cos )xfx dx _ __. 2cossinxCx 4. 若( )( )f u duF uC.则211( )fdxxx__ _. 1( )FCx 5.求sincossincosxxdxxx_____. ln sincosxxC 6. 求ln(ln )x dxx. ln(ln ln1)xxC 7. 已知( )f x 的一个原函数为xe ,求(2 )xfx dx. 211()22xexC 8.计算dxxx2cos12. tanln cosxxxC 9.求dxex11. ln 1xxeC 10.计算dxxxex2)1(. 1xxxeeCx 11.计算 dxxxx)1(21222 1arctan xCx 12.求dxxx2sin2cos2. 12sin 2Cx 13.求2arctan1xx...

1、当您付费下载文档后,您只拥有了使用权限,并不意味着购买了版权,文档只能用于自身使用,不得用于其他商业用途(如 [转卖]进行直接盈利或[编辑后售卖]进行间接盈利)。
2、本站所有内容均由合作方或网友上传,本站不对文档的完整性、权威性及其观点立场正确性做任何保证或承诺!文档内容仅供研究参考,付费前请自行鉴别。
3、如文档内容存在违规,或者侵犯商业秘密、侵犯著作权等,请点击“违规举报”。

碎片内容

微积分练习题

确认删除?
VIP
微信客服
  • 扫码咨询
会员Q群
  • 会员专属群点击这里加入QQ群
客服邮箱
回到顶部