电脑桌面
添加小米粒文库到电脑桌面
安装后可以在桌面快捷访问

高三数学试卷(文科)VIP免费

高三数学试卷(文科)_第1页
1/12
高三数学试卷(文科)_第2页
2/12
高三数学试卷(文科)_第3页
3/12
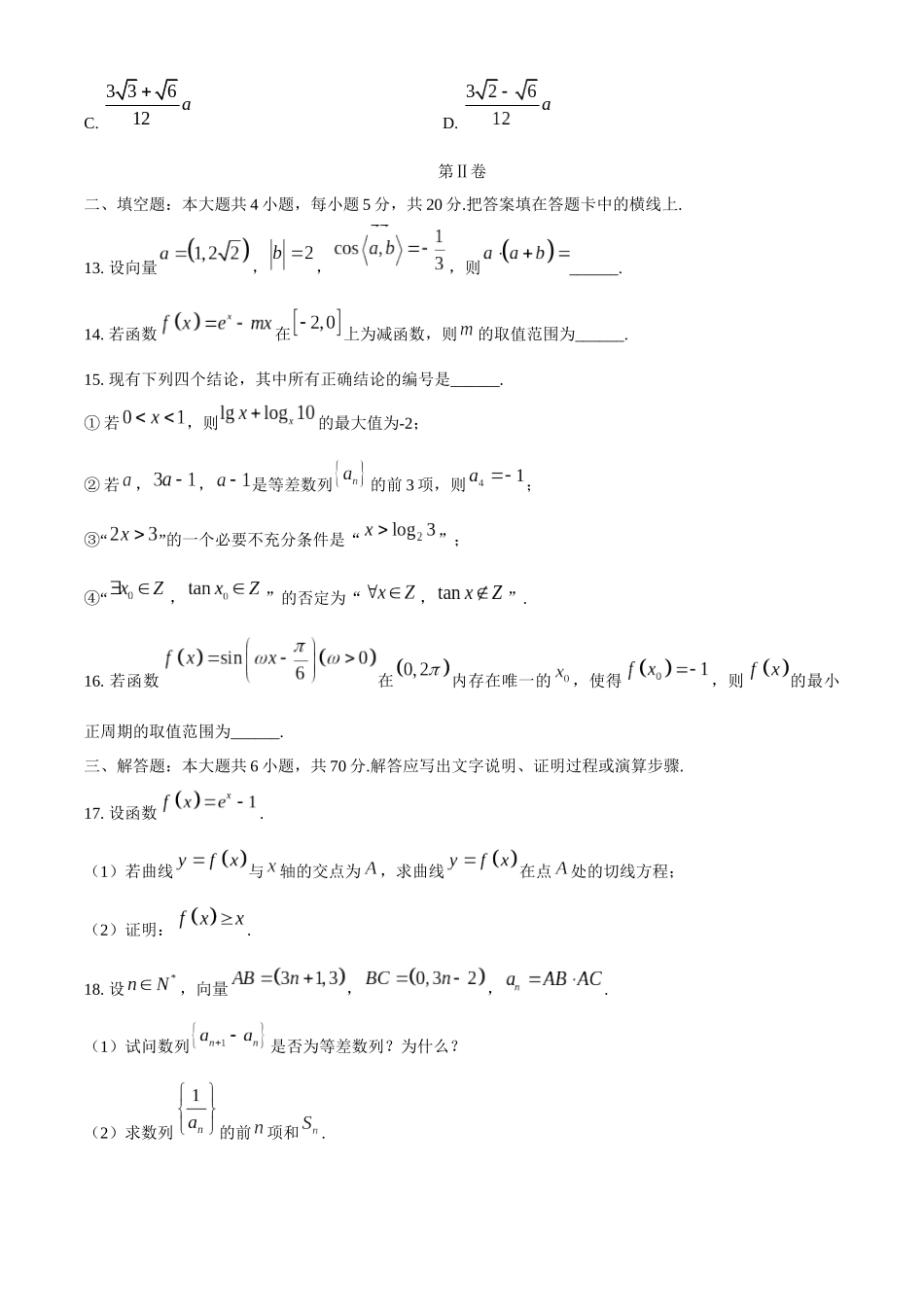
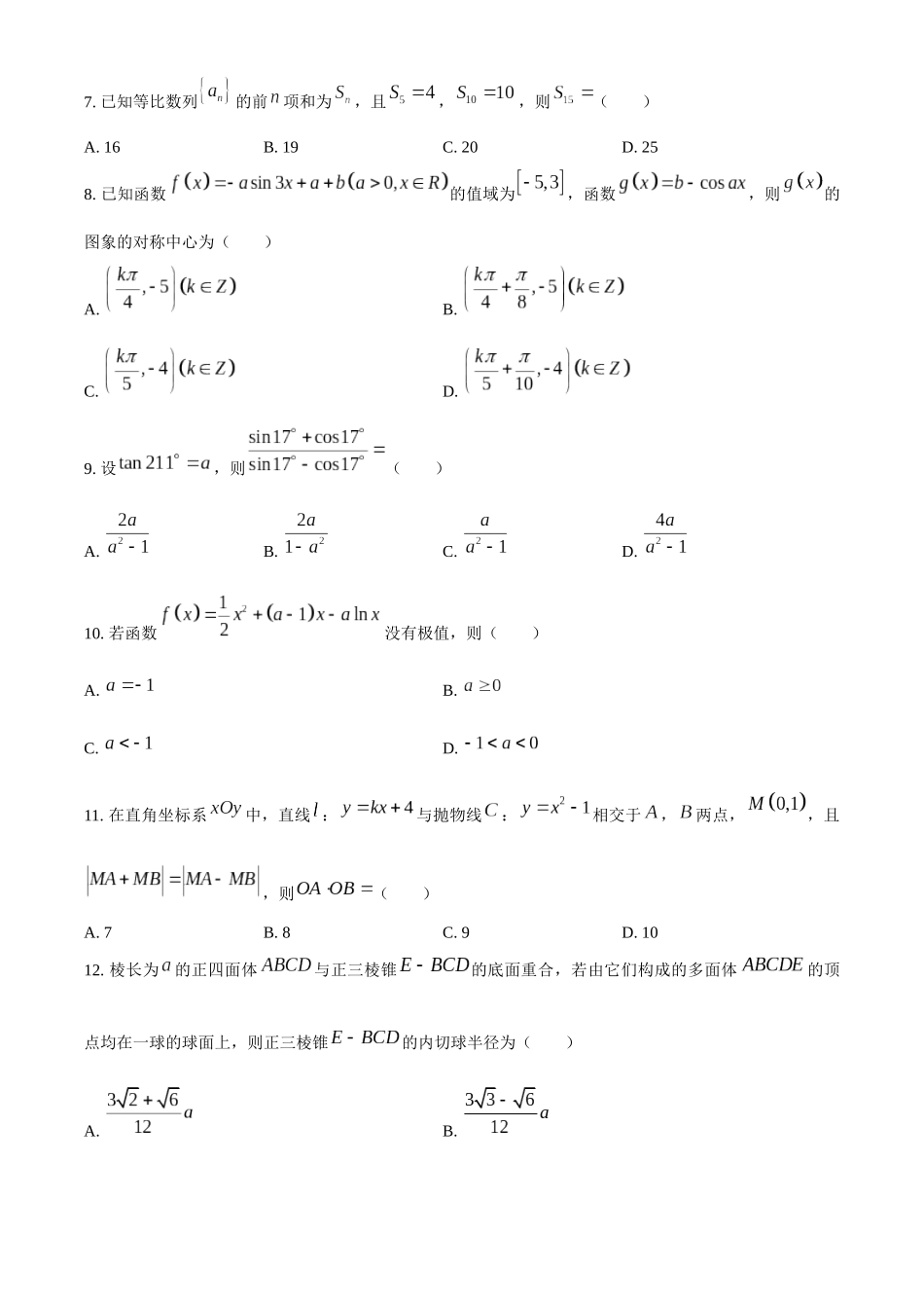
高三数学试卷(文科)考生注意:1.本试卷共150分,考试时间120分钟.2.请将各题答案填写在答题卡上.3.本试卷主要考试内容:集合、函数、导数、三角函数、向量、数列、不等式、立体几何.第Ⅰ卷一、选择题:本大题共12小题,每小题5分,共60分.在每小题给出的四个选项中,只有一项是符合题目要求的.1.已知集合,,则的元素的个数为()A.3B.4C.5D.62.若向量,,且,则()A.B.C.D.3.若,满足约束条件,且,则()A.的最大值为6B.的最大值为8C.的最小值为6D.的最小值为84.设函数,若是奇函数,则()A.-3B.-2C.-1D.15.已知,,是三个不同的平面,,是两条不同的直线,下列判断正确的是()A.若,,则B.若,,,则C.若,,,则D.若,,则6.函数的零点所在的区间为()A.B.C.D.7.已知等比数列的前项和为,且,,则()A.16B.19C.20D.258.已知函数的值域为,函数,则的图象的对称中心为()A.B.C.D.9.设,则()A.B.C.D.10.若函数没有极值,则()A.B.C.D.11.在直角坐标系中,直线:与抛物线:相交于,两点,,且,则()A.7B.8C.9D.1012.棱长为的正四面体与正三棱锥的底面重合,若由它们构成的多面体的顶点均在一球的球面上,则正三棱锥的内切球半径为()A.B.C.D.第Ⅱ卷二、填空题:本大题共4小题,每小题5分,共20分.把答案填在答题卡中的横线上.13.设向量,,,则______.14.若函数在上为减函数,则的取值范围为______.15.现有下列四个结论,其中所有正确结论的编号是______.①若,则的最大值为-2;②若,,是等差数列的前3项,则;“③”的一个必要不充分条件是“”;“④,”的否定为“,”.16.若函数在内存在唯一的,使得,则的最小正周期的取值范围为______.三、解答题:本大题共6小题,共70分.解答应写出文字说明、证明过程或演算步骤.17.设函数.(1)若曲线与轴的交点为,求曲线在点处的切线方程;(2)证明:.18.设,向量,,.(1)试问数列是否为等差数列?为什么?(2)求数列的前项和.19.已知四棱锥的直观图如图所示,其中,,两两垂直,,且底面为平行四边形.(1)证明:.(2)如图,网格纸上小正方形的边长为1,粗线画出的是该四棱锥的正视图与俯视图,请在网格纸上用粗线画出该四棱锥的侧视图,并求四棱锥的表面积.20.在中,角,,所对的边分别为,,,已知.(1)求角的大小;(2)求的取值范围.21.如图,在各棱长均为4的直四棱柱中,,为棱上一点.(1)证明:平面平面.(2)在图中作出点在平面内的正投影(说明作法及理由),并求三棱锥的体积.22.已知函数.(1)讨论的单调性;(2)若,,求的取值范围.高三数学试卷参考答案(文科)一、选择题1-5:CBCAD6-10:BBBAA11-12:CD1.C ,∴.2.B因为,所以,则.3.C作出约束条件表示的可行域(图略),由图可知,当直线经过点时,取得最小值6,无最大值.4.A ,∴.5.D因为同时垂直于一个平面的两条直线互相平行,故D正确.6.B因为,,且为增函数,所以的零点所在的区间为.7.B因为等比数列的前项和为,所以,,成等比数列,因为,,所以,,故.8.B因为,又依题意知的值域为,所以,,所以.令,得,则的图象的对称中心为.9.A,,,故.10.A,,当时,.令,得;令,得.当时,方程必有一个正数解,(1)若,此正数解为,此时,在上单调递增,无极值.(2)若,此正数解为,必有2个不同的正数解,存在2个极值.综上,.11.C由,得,设,,则,.因为,所以,则,所以.所以.12.D由题意,多面体的外接球即正四面体的外接球,且其外接球的直径为,易求正四面体的高为,外接球的半径为.设正三棱锥的高为,因为,所以.因为底面的边长为,所以,则正三棱锥的三条侧棱两两垂直.易求正三棱锥的表面积,体积.设正三棱锥的内切球的半径为,由,得.二、填空题13.714.15.16.①④13.7.14.由题意可知,即对恒成立,所以.15.①④若,则,,当且仅当时,等号成立,所以①正确;若,,是等差数列的前3项,则,,所以②不正确;因为,所以③不正确;因为特称命题的否定是全称命题,所以④也正确.故所有正确结论的编号是①④.16.因为,,所以.依题意可得,解得,则.三、解答题17.(1)解:令,得,所以的坐标为.因为,所以,故曲线在点处的切线方程为.(2)证...

1、当您付费下载文档后,您只拥有了使用权限,并不意味着购买了版权,文档只能用于自身使用,不得用于其他商业用途(如 [转卖]进行直接盈利或[编辑后售卖]进行间接盈利)。
2、本站所有内容均由合作方或网友上传,本站不对文档的完整性、权威性及其观点立场正确性做任何保证或承诺!文档内容仅供研究参考,付费前请自行鉴别。
3、如文档内容存在违规,或者侵犯商业秘密、侵犯著作权等,请点击“违规举报”。

碎片内容

高三数学试卷(文科)

文章天下+ 关注
实名认证
内容提供者

各种文档应有尽有

相关文档

确认删除?
VIP
微信客服
  • 扫码咨询
会员Q群
  • 会员专属群点击这里加入QQ群
客服邮箱
回到顶部