电脑桌面
添加小米粒文库到电脑桌面
安装后可以在桌面快捷访问

椭圆经典例题

椭圆经典例题_第1页
1/10
椭圆经典例题_第2页
2/10
椭圆经典例题_第3页
3/10
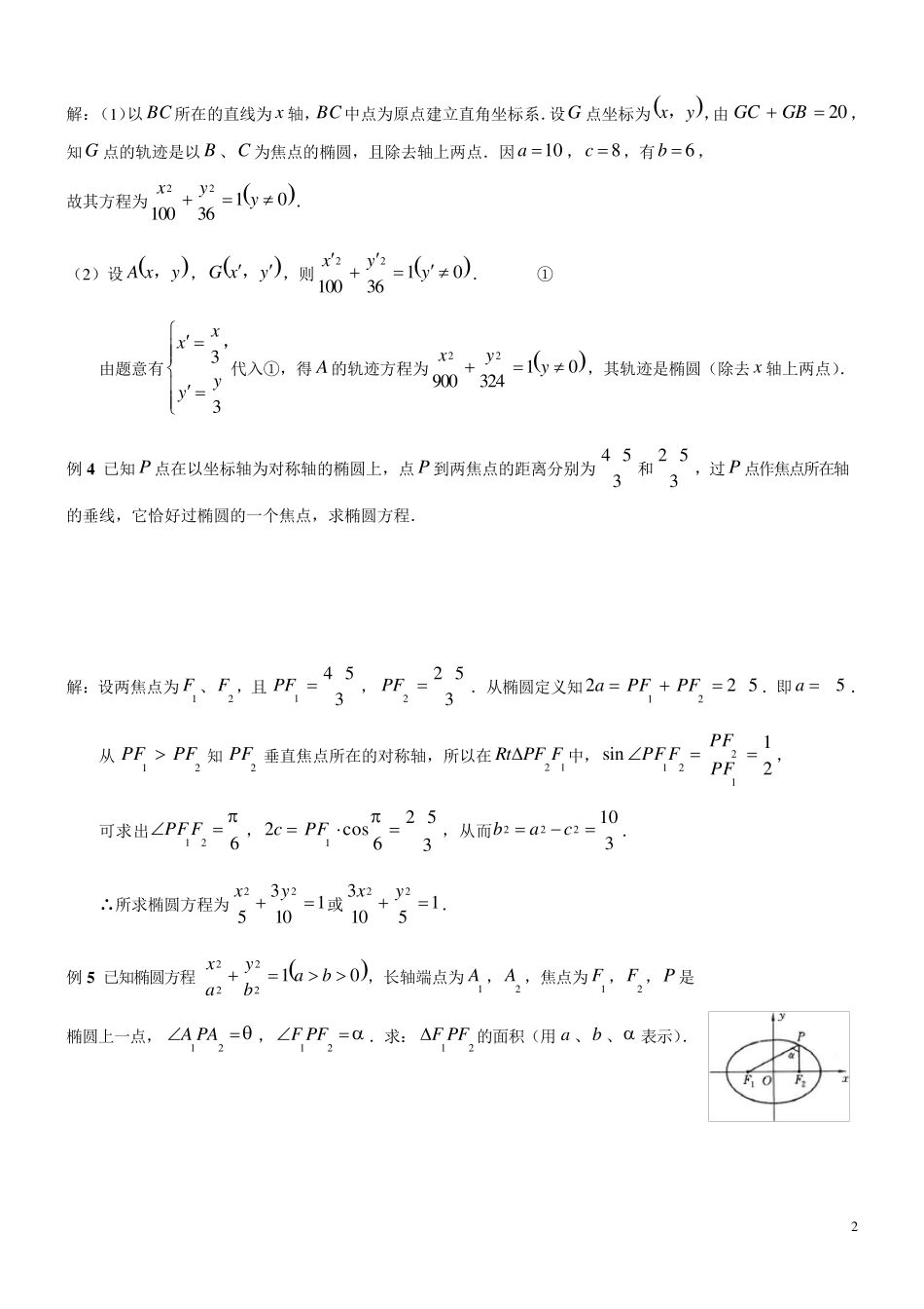
1 椭圆标准方程典型例题 例1 已知椭圆06322mymx的一个焦点为(0 ,2 )求m 的值. 分析:把椭圆的方程化为标准方程,由2c,根据关系222cba可求出m 的值. 解:方程变形为12622 myx.因为焦点在y轴上,所以62m,解得3m. 又2c,所以2262m,5m适合.故5m. 例2 已知椭圆的中心在原点,且经过点03,P,ba3,求椭圆的标准方程. 分析:因椭圆的中心在原点,故其标准方程有两种情况.根据题设条件,运用待定系数法, 求出参数a 和b (或2a 和2b )的值,即可求得椭圆的标准方程. 解:当焦点在x轴上时,设其方程为012222babyax. 由椭圆过点03,P,知10922 ba.又ba3,代入得12 b,92 a,故椭圆的方程为1922 yx. 当焦点在y轴上时,设其方程为012222babxay. 由椭圆过点03,P,知10922 ba.又ba3,联立解得8 12 a,92 b,故椭圆的方程为198 122 xy. 例3 ABC的底边1 6BC,AC 和AB 两边上中线长之和为3 0 ,求此三角形重心G 的轨迹和顶点A 的轨迹. 分析:(1 )由已知可得2 0 GBGC,再利用椭圆定义求解. (2 )由G 的轨迹方程G 、 A 坐标的关系,利用代入法求A 的轨迹方程. 2 解: (1)以BC 所在的直线为x 轴,BC 中点为原点建立直角坐标系.设G 点坐标为yx ,,由20 GBGC,知G 点的轨迹是以B 、C 为焦点的椭圆,且除去轴上两点.因10a,8c,有6b, 故其方程为013610022yyx. (2)设yxA ,,yxG,,则013610022yyx. ① 由题意有33yyxx,代入①,得A 的轨迹方程为0132490022yyx,其轨迹是椭圆(除去x 轴上两点). 例4 已知P 点在以坐标轴为对称轴的椭圆上,点P 到两焦点的距离分别为354和352,过P 点作焦点所在轴的垂线,它恰好过椭圆的一个焦点,求椭圆方程. 解:设两焦点为1F 、2F ,且3541 PF,3522 PF.从椭圆定义知52221PFPFa.即5a. 从21PFPF 知2PF 垂直焦点所在的对称轴,所以在12FPFRt中,21sin1221PFPFFPF, 可求出621FPF,3526cos21PFc,从而310222cab. ∴所求椭圆方程为1103522yx或1510322 yx. 例5 已知椭圆方程012222babyax,长轴端点为1A ,2A ,焦点为1F ,2F...

1、当您付费下载文档后,您只拥有了使用权限,并不意味着购买了版权,文档只能用于自身使用,不得用于其他商业用途(如 [转卖]进行直接盈利或[编辑后售卖]进行间接盈利)。
2、本站所有内容均由合作方或网友上传,本站不对文档的完整性、权威性及其观点立场正确性做任何保证或承诺!文档内容仅供研究参考,付费前请自行鉴别。
3、如文档内容存在违规,或者侵犯商业秘密、侵犯著作权等,请点击“违规举报”。

碎片内容

椭圆经典例题

确认删除?
VIP
微信客服
  • 扫码咨询
会员Q群
  • 会员专属群点击这里加入QQ群
客服邮箱
回到顶部