电脑桌面
添加小米粒文库到电脑桌面
安装后可以在桌面快捷访问

水的物理性质表

水的物理性质表_第1页
1/9
水的物理性质表_第2页
2/9
水的物理性质表_第3页
3/9
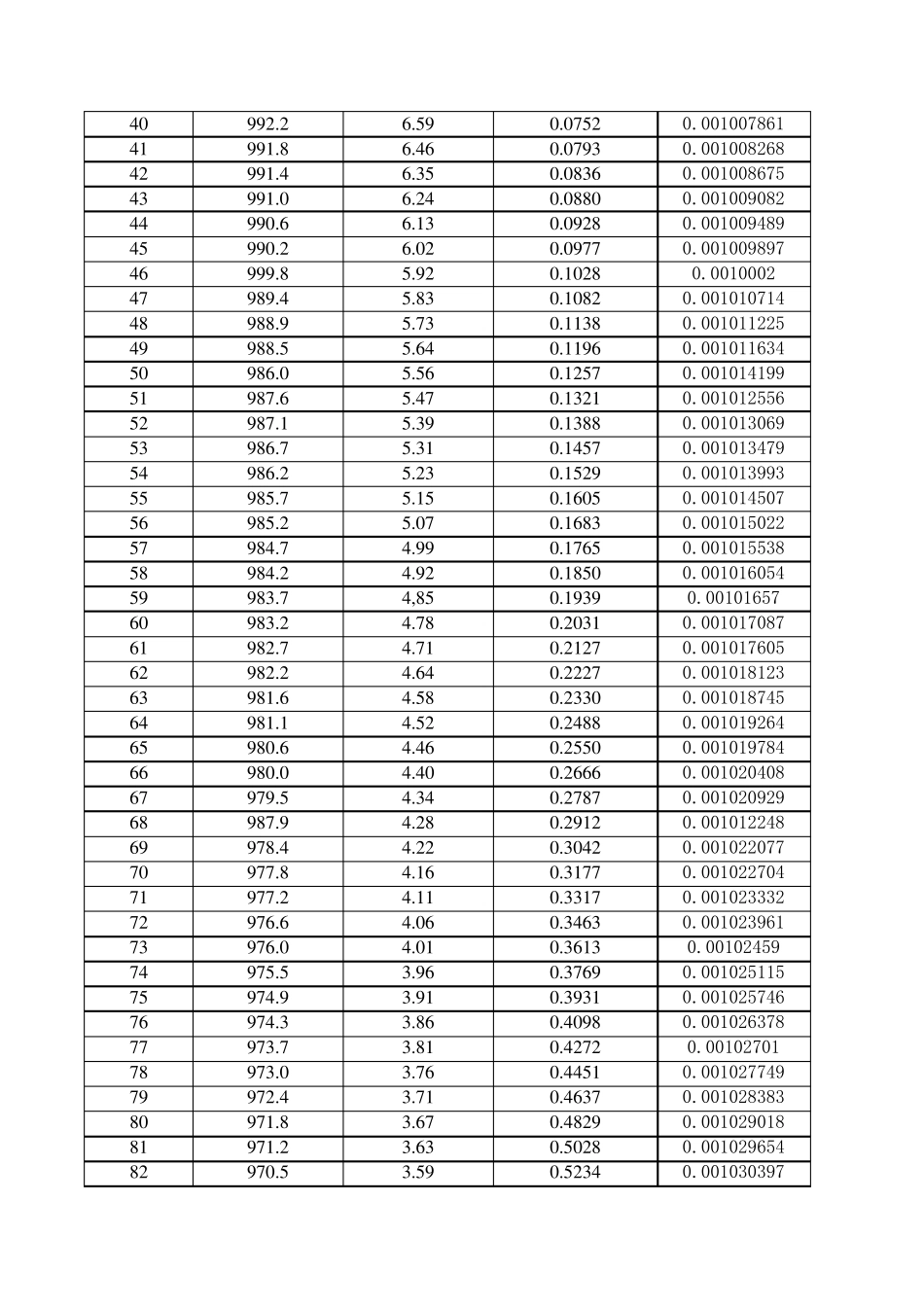
温度(t) 重度γ运动粘度υ饱和蒸汽压比容(℃) (kg/m3) 10-7(m2/s)(kg/cm2)(m3/kg)2999.916.740.00720.001000131000.016.190.00770.00141000.015.680.00830.00151000.015.200.00890.0016999.914.740.00950.00100017999.914.300.01020.00100018999.813.880.01090.00100029999.813.480.01170.001000210999.713.100.01250.001000311999.612.740.01340.001000412999.512.400.01430.001000513999.412.070.01520.001000614999.311.760.01630.001000715999.111.460.01740.00100090116998.911.170.01850.00100110117998.810.890.01970.00100120118998.610.620.02100.00100140219998.410.360.02240.00100160320998.210.110.02380.00100180321998.09.870.02530.00100200422997.89.630.02690.00100220523997.59.400.02860.00100250624997.39.180.03040.00100270725997.08.970.03230.00100300926996.88.770.03420.0010032127996.58.580.03630.00100351228996.28.390.03850.00100381429995.98.210.04080.00100411730995.68.040.04320.00100441931995.37.870.04580.00100472232995.07.700.04840.00100502533994.77.550.05120.00100532834994.47.390.05420.00100563235994.07.250.05730.00100603636993.77.100.06050.0010063437992.26.970.06390.00100786138993.06.830.06750.00100704939992.66.710.07120.001007455水的物理性质表4 09 9 2 .26 .5 90 .0 7 5 20.0010078614 19 9 1 .86 .4 60 .0 7 9 30.0010082684 29 9 1 .46 .3 50 .0 8 3 60.0010086754 39 9 1 .06 .2 40 .0 8 8 00.0010090824 49 9 0 .66 .1 30 .0 9 2 80.0010094894 59 9 0 .26 .0 20 .0 9 7 70.0010098974 69 9 9 .85 .9 20 .1 0 2 80.00100024 79 8 9 .45 .8 30 .1 0 8 20.0010107144 89 8 8 .95 .7 30 .1 1 3 80.0010112254 99 8 8 .55 .6 40 .1 1 9 60.0010116345 09 8 6 .05 .5 60 .1 2 5 70.0010141995 19 8 7 .65 .4 70 .1 3 2 10.0010125565 29 8 7 .15 .3 90 .1 3 8 80.0010130695 39 8 6 .75 .3 10 .1 4 5 70.0010134795 49 8 6 .25 .2 30 .1 5 2 90.0010139935 59 8 5 .75 .1 50 .1 6 0 50.0010145075 69 8 5 .25 .0 70 .1 6 8 30.0010150225 79 8 4 .74 .9 90 .1 7 6 50.00101...

1、当您付费下载文档后,您只拥有了使用权限,并不意味着购买了版权,文档只能用于自身使用,不得用于其他商业用途(如 [转卖]进行直接盈利或[编辑后售卖]进行间接盈利)。
2、本站所有内容均由合作方或网友上传,本站不对文档的完整性、权威性及其观点立场正确性做任何保证或承诺!文档内容仅供研究参考,付费前请自行鉴别。
3、如文档内容存在违规,或者侵犯商业秘密、侵犯著作权等,请点击“违规举报”。

碎片内容

水的物理性质表

确认删除?
VIP
微信客服
  • 扫码咨询
会员Q群
  • 会员专属群点击这里加入QQ群
客服邮箱
回到顶部