电脑桌面
添加小米粒文库到电脑桌面
安装后可以在桌面快捷访问

汽油发动机吸进温度为

汽油发动机吸进温度为_第1页
1/12
汽油发动机吸进温度为_第2页
2/12
汽油发动机吸进温度为_第3页
3/12
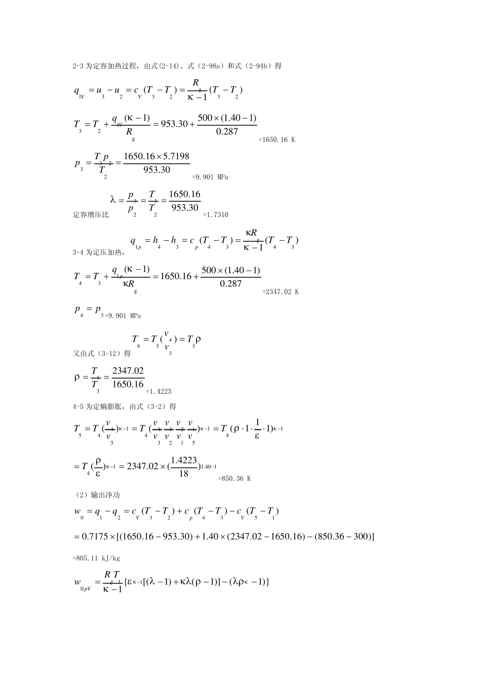
6-2 汽油发动机吸进温度为300K,压力0.1MPa 的空气0.01kg,若发动机的压缩比为8,每一循环的加热量为4.2kJ,发动机转速为2000rpm,发动机为四冲程的。试求:循环的最高温度、最高压力和理论功率。设比热容为定值。 解:1-2 为定熵压缩,14 0.1111211283 0 0)(−−−×===κκεTvvTT=689.22 K 4 0.11211281.0)(×===κκεpvvpp=1.8379 MPa 2-3 为定容加热过程,由式(2-14)、式(2-98a)和式(2-94b)得 )(1)()(23g232311TTmRTTmcuummqQV−−=−=−==κ 2 8 7.00 1.0)14 0.1(2.42 2.6 8 9)1(g123×−×+=−+=mRQTTκ=1274.59 K 2-3 为定容加热,由式(3-12)得)(2323ppTT = )2 2.6 8 98 3 7 9.15 9.1 2 7 4(2233×== TpTp=3.3989 MPa 14 0.11313141122331433485 9.1 2 7 4)111()()(−−−−−==⋅⋅===κκκκεεTTvvvvvvTvvTT=554.80 K )(1)()(14g141422TTmRTTmcuummqQV−−=−=−==κ )3 0 08 0.5 5 4(14 0.12 8 7.00 1.0−×−×==1.8282 kJ 8 2 8 2.12.4210−=−=QQW=2.3718 kJ 理论功率3 7 1 8.226 0/2 0 0 0200×==WNW=39.53 kW 6-5 定压加热循环的内燃机,以空气为工质,初始参数为:t1=20℃,p1=0.1MPa,压缩比ε=18,预胀比ρ=2。试求该循环各转折点的参数、加热量、放热量、循环功和热效率。设比热容为定值。 解:1-2 为定熵压缩,由式(3-2)得14 0.111121121 81 5.2 9 3)(−−−×===κκεTvvTT=931.53 K 4 0.1121121 81.0)(×===κκεpvvpp=5.7198 MPa 2-3 为定压加热,由式(3-12)得253.931)(22323×===ρTvvTT=1863.07 K 23pp ==5.7198 MPa 3-4 为定熵膨胀,由式(3-2)得 131411223314334)11()()(−−−⋅⋅===κκκερTvvvvvvTvvTT 14.113)182(07.1863)(−−×==κερT=773.63 K 4-1 为定容放热 15.2931.063.7731144×== TpTp=0.2639 MPa )(1)(23g23231TTRTTchhqp−−=−=−=κκ )53.93107.1863(140.1287.040.1−×−×==935.73 kJ/kg )(1)(14g14142TTRTTcuuqV−−=−=−=κ )15.29363.773(140.1287.0−×−==344.74 kJ/kg 循环功74.34473.935210−=−=qqw=590.99 kJ/kg 循环热效率73.93574.3441112t−=−=qqη=63.16% 6-7 混合加热的理想循环,吸热量为1000kJ/kg,其中定容过程和定压过程吸热量各占一半。压缩比为18,压缩过程的初始参数为100kPa,27℃。试求: (1)循环的最高温度和最高压力...

1、当您付费下载文档后,您只拥有了使用权限,并不意味着购买了版权,文档只能用于自身使用,不得用于其他商业用途(如 [转卖]进行直接盈利或[编辑后售卖]进行间接盈利)。
2、本站所有内容均由合作方或网友上传,本站不对文档的完整性、权威性及其观点立场正确性做任何保证或承诺!文档内容仅供研究参考,付费前请自行鉴别。
3、如文档内容存在违规,或者侵犯商业秘密、侵犯著作权等,请点击“违规举报”。

碎片内容

汽油发动机吸进温度为

小辰9+ 关注
实名认证
内容提供者

出售各种资料和文档

确认删除?
VIP
微信客服
  • 扫码咨询
会员Q群
  • 会员专属群点击这里加入QQ群
客服邮箱
回到顶部