电脑桌面
添加小米粒文库到电脑桌面
安装后可以在桌面快捷访问

自动控制原理课后答案5

自动控制原理课后答案5_第1页
1/25
自动控制原理课后答案5_第2页
2/25
自动控制原理课后答案5_第3页
3/25
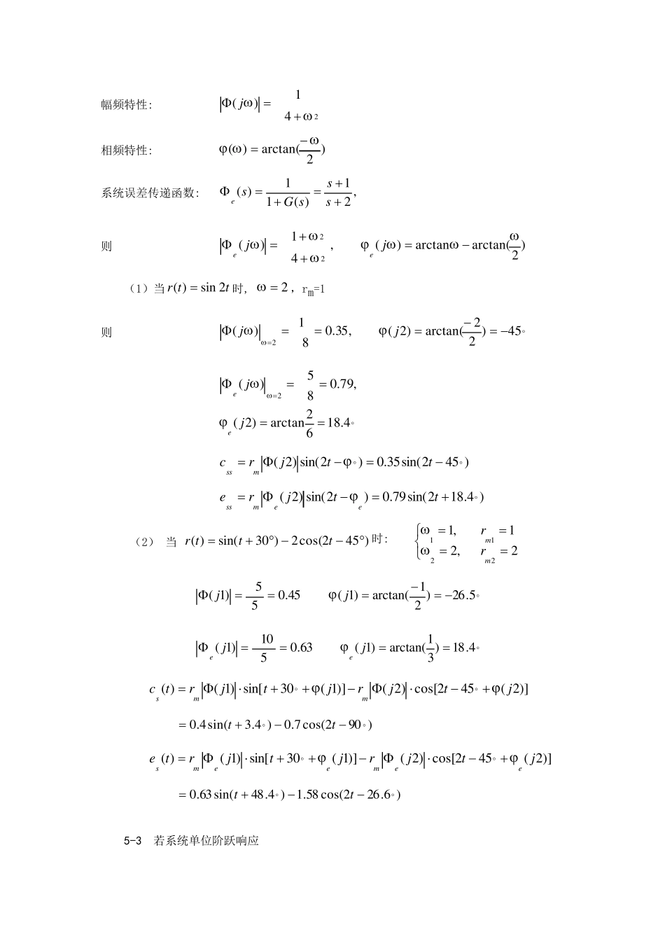
第五章 线性系统的频域分析与校正 习题与解答 5-1 试求题5-75图(a)、(b)网络的频率特性。 u rR1u cR2C CR2R1u ru c (a) (b) 图5-75 R-C网络 解 (a)依图:2121111212111111221)1(11)()(RRCRRTCRRRRKsTsKsCRsCRRRsUsUrc 11121212121)1()()()(jTjKCRRjRRCRRjRjUjUjGrca (b)依图:CRRTCRsTssCRRsCRsUsUrc)(1111)()(2122222212 2221211)(11)()()(jTjCRRjCRjjUjUjGrcb 5-2 某系统结构图如题5-76图所示,试根据频率特性的物理意义,求下列输入信号作用时,系统的稳态输出)(tcs和稳态误差)(tes (1) ttr2sin)( (2) )452cos(2)30sin()(tttr 解 系统闭环传递函数为: 21)(ss 图5-76 系统结构图 频率特性: 2244221)(jjj 幅频特性: 241)( j 相频特性: )2arctan()( 系统误差传递函数: ,21)(11)(sssGse 则 )2arctan(arctan)(,41)(22jjee (1)当ttr2sin)(时, 2,rm=1 则 ,35.081)(2j 45)22arctan()2(j 4.1862arctan)2(,79.085)(2jjee )452sin(35.0)2sin()2(ttjrcmss )4.182sin(79.0)2sin()2(ttjreeemss (2) 当 )452cos(2)30sin()(tttr时: 2,21,12211mmrr 5.26)21arctan()1(45.055)1(jj 4.18)31arctan()1(63.0510)1(jjee )]2(452cos[)2()]1(30sin[)1()(jtjrjtjrtcmms )902cos(7.0)4.3sin(4.0tt )]2(452cos[)2()]1(30sin[)1()(jtjrjtjrteeemeems )6.262cos(58.1)4.48sin(63.0tt 5-3 若系统单位阶跃响应 )0(8.08.11)(94teethtt 试求系统频率特性。 解 ssRsssssssC1)(,)9)(4(3 698.048.11)( 则 )9)(4(3 6)()()(ssssRsC 频率特性为 )9)(4(3 6)(jjj 5-4 绘制下列传递函数的幅相曲线: ( )( )/1G sK s ( )( )/22G sK s ( )( )/33G sK s 解 ( )( )()12G jKjK ej   00,()G j...

1、当您付费下载文档后,您只拥有了使用权限,并不意味着购买了版权,文档只能用于自身使用,不得用于其他商业用途(如 [转卖]进行直接盈利或[编辑后售卖]进行间接盈利)。
2、本站所有内容均由合作方或网友上传,本站不对文档的完整性、权威性及其观点立场正确性做任何保证或承诺!文档内容仅供研究参考,付费前请自行鉴别。
3、如文档内容存在违规,或者侵犯商业秘密、侵犯著作权等,请点击“违规举报”。

碎片内容

自动控制原理课后答案5

您可能关注的文档

确认删除?
VIP
微信客服
  • 扫码咨询
会员Q群
  • 会员专属群点击这里加入QQ群
客服邮箱
回到顶部