电脑桌面
添加小米粒文库到电脑桌面
安装后可以在桌面快捷访问

四川建筑工程施工质量验收规范实施的指南

四川建筑工程施工质量验收规范实施的指南_第1页
1/379
四川建筑工程施工质量验收规范实施的指南_第2页
2/379
四川建筑工程施工质量验收规范实施的指南_第3页
3/379
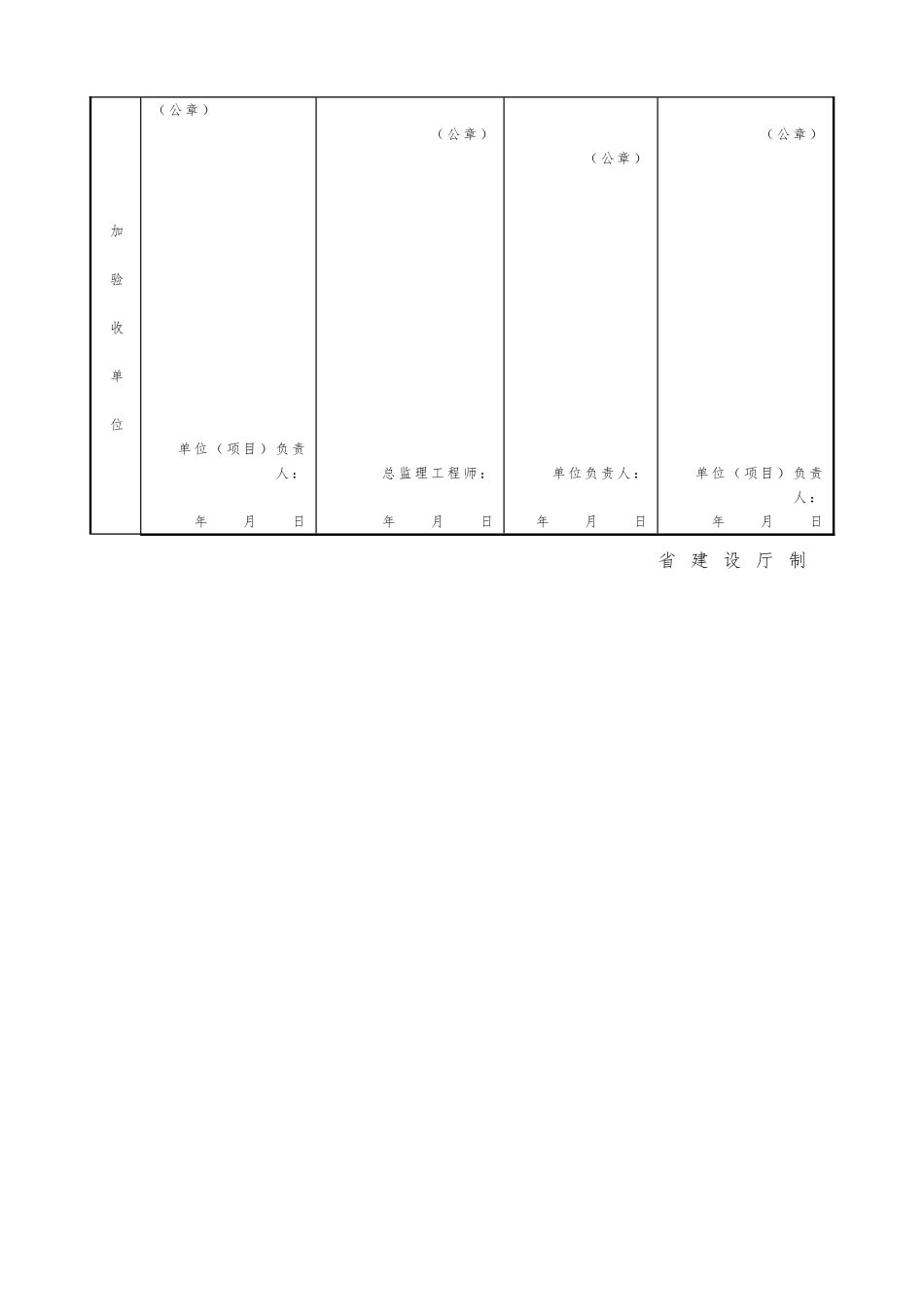
施工单位用表——土建用表指南SG—TOO1单 位 工 程 质 量 竣 工 验 收 记 录工 程 名 称结 构 类 型层 数 / 建 筑面 积施 工 单 位技 术 负 责 人开 工 日 期项 目 负 责 人项 目 技 术 负 责 人竣 工 日 期序号项 目验 收 记 录验 收 结 论1分 部 部 工 程2质 量 控 制 资 料 核 查3安 全 和 主 要 功 能 核 查与 抽 查 结 果4观 感 感 验 收5综 合 验 收 结 论参建 设 单 位监 理 单 位施 工 单 位设 计 单 位加验收单位( 公 章 ) 单 位 ( 项 目 ) 负 责人 : 年 月 日( 公 章 ) 总 监 理 工 程 师 : 年 月 日( 公 章 ) 单 位 负 责 人 : 年 月 日( 公 章 ) 单 位 ( 项 目 ) 负 责人 : 年 月 日省 建 设 厅 制SG—T001 填 写 说 明—、本表为单位工程质量竣工验收进行综合质量评定时使用。 二、单位工程完工后,施工单位应自行组织有关人员进行检查评定,并向建设单位提交工程验收报告;建设单位接到工程验收报告后应由建设单位(项目)负责人组织施工(含分包单位)、设计、监理等单位(项目)负责人进行单位(子单位)工程验收。 三、单位工程质量验收应符合下列规定:1 .单位工程所含分部工程的质量均应验收合格。 2 .质量控制资料应完整。 3 .单位工程所含分部工程有关安全和功能的检测资料完整。4 .主要功能项目的抽查结果应符合相关专业质量验收规的规定。5.观感质量验收应符合要求。四、本表由建设、施工、监理单位共同填写。五、填写要求: 1 .表头与验收记录容由施工单位项目(技术)负责人填写,表头部分的工程名称、施工单位名称应填写全称,与检验批、分项工程、分部工程等验收记录相一致。2 .验收结论由总监理工程师(建设单位项目负责人)填写验收是否合格,观感质量验收情况应填写是否符合要求,观感质量抽查项目与数量是在施工单位自查基础上由验收各方共同商定。3 .综合验收结论由参加验收各方共同商定后由建设单位填写,对工程是否符合设计和规要求与工程总体质量是否合格做出评价,验收时检查出的工程(资料)问题应作为附件附于后面。4 .参加验收单位各方负责人应填写验收意见并签字盖章。5 .表头中的技术负责人应为施工单位技术负责人。六、本表一式四份,建设单位、施工单位、监理单位、城建档案馆各一份。SG—...

1、当您付费下载文档后,您只拥有了使用权限,并不意味着购买了版权,文档只能用于自身使用,不得用于其他商业用途(如 [转卖]进行直接盈利或[编辑后售卖]进行间接盈利)。
2、本站所有内容均由合作方或网友上传,本站不对文档的完整性、权威性及其观点立场正确性做任何保证或承诺!文档内容仅供研究参考,付费前请自行鉴别。
3、如文档内容存在违规,或者侵犯商业秘密、侵犯著作权等,请点击“违规举报”。

碎片内容

四川建筑工程施工质量验收规范实施的指南

津创媒+ 关注
实名认证
内容提供者

欢迎交流文创,小店资料希望满足您的需要。

相关文档

确认删除?
VIP
微信客服
  • 扫码咨询
会员Q群
  • 会员专属群点击这里加入QQ群
客服邮箱
回到顶部