电脑桌面
添加小米粒文库到电脑桌面
安装后可以在桌面快捷访问

10 kV三相油浸式无励磁调压硅钢闭口立体卷铁心配电变压器设计图纸20211216-1VIP专享

10 kV三相油浸式无励磁调压硅钢闭口立体卷铁心配电变压器设计图纸20211216-1_第1页
1/343
10 kV三相油浸式无励磁调压硅钢闭口立体卷铁心配电变压器设计图纸20211216-1_第2页
2/343
10 kV三相油浸式无励磁调压硅钢闭口立体卷铁心配电变压器设计图纸20211216-1_第3页
3/343
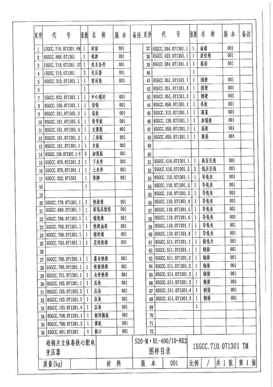
241.0251.0271.01.0比例 1:1第 1 张4A4 5SGCC.709.071303.21 下铁轭绝缘55序号12345671415161231.01.01.017181989101112131.01.01.01.01.01.01.01.01.01.01.01.01.01.01.01 夹件绝缘11铜排11.01.01.0149150147铜排1.0铜排142145铜排146铜排铜排40低压引线高压引线1.01.043版本1.0代 号技术条件8SGCC.753.071303.1铭牌全密封变压器张数111ABCD名 称绝缘油道端绝缘层间绝缘E139高低压线圈1375SGCC.123.071303.1~2132 A4135136A4A4A4名 称幅面A4 1SGCC.710.071303FM1.01.0张数封面6SGCC.600.071303代 号134 A4133 A4版本1.01SGCC.710.071303 JT1SGCC.710.071303 MP1SGCC.710.071303 1.0序号幅面A4A4A3A4A4目录5SGCC.706.071303.11381SGCC.710.071303TM5SGCC.516.071303.25SGCC.516.071303.18SGCC.511.071303.28SGCC.511.071303.1A4铜排铜排1411上夹件器身装配铁心上夹件腹板51144隔磁板58148153下夹件腹板1油箱1521下夹件上铁轭绝缘56三相油浸式无励磁调压硅钢 闭口立体卷铁心配电变压器6057541 箱底29301.0A4A4A4A4A4232628A4A4202122A4A4A4A4A48SGCC.511.071303.38SGCC.511.071303.48SGCC.511.071303.5A4A4A4A4A4A4A45SGCC.700.0713038SGCC.048.071303.15SGCC.070.071303.15SGCC.640.0713035SGCC.070.071303.28SGCC.048.071303.25SGCC.709.071303.18SGCC.511.071303.68SGCC.511.071303.78SGCC.511.071303.88SGCC.751.071303.35SGCC.312.0713035SGCC.055.0713035SGCC.384.071303箱盖夹件绝缘1611598SGCC.751.071303.48SGCC.365.07130331 A4 5SGCC.084.071303 1.0 1 箱沿621234F质量(kg)/材料版本共 1 张SB20-M·RL-400/10-NX2图样目录1SGCC.710.071303TM2425271.0比例 1:1第 1 张F质量(kg)/材料版本共 1 张SB20-M·RL-400/10-NX2图样目录1SGCC.710.071304.1TM注:此为本套图纸图样目录31 A4621234三相油浸式无励磁调压硅钢闭口立体卷铁心配电变压器6159A4A4A4A4A4A4A4A4A4A4A4A4A4A4A4A4232628A4A4202122A4293060575453525644584851A4A4A3A4A4目录381SGCC.710.071304.1TMA4416SGCC.600.071304代 号134133版本1.01SGCC.710.071304 JT1SGCC.710.071304 MP1SGCC.710.071304 1.0序号幅面A4A4A4名 称幅面A4 1SGCC.710.071304FM1.01.0张数封面39高低压线圈137132135136ABCD名 称E张数版本代 号技术条件铭牌全密封变压器40434245464950471231.017181989101112131.04A455序号1234567141516

1、当您付费下载文档后,您只拥有了使用权限,并不意味着购买了版权,文档只能用于自身使用,不得用于其他商业用途(如 [转卖]进行直接盈利或[编辑后售卖]进行间接盈利)。
2、本站所有内容均由合作方或网友上传,本站不对文档的完整性、权威性及其观点立场正确性做任何保证或承诺!文档内容仅供研究参考,付费前请自行鉴别。
3、如文档内容存在违规,或者侵犯商业秘密、侵犯著作权等,请点击“违规举报”。

碎片内容

10 kV三相油浸式无励磁调压硅钢闭口立体卷铁心配电变压器设计图纸20211216-1

确认删除?
VIP
微信客服
  • 扫码咨询
会员Q群
  • 会员专属群点击这里加入QQ群
客服邮箱
回到顶部