电脑桌面
添加小米粒文库到电脑桌面
安装后可以在桌面快捷访问

2.4 向量的数量积(2)

2.4 向量的数量积(2)_第1页
1/3
2.4 向量的数量积(2)_第2页
2/3
2.4 向量的数量积(2)_第3页
3/3
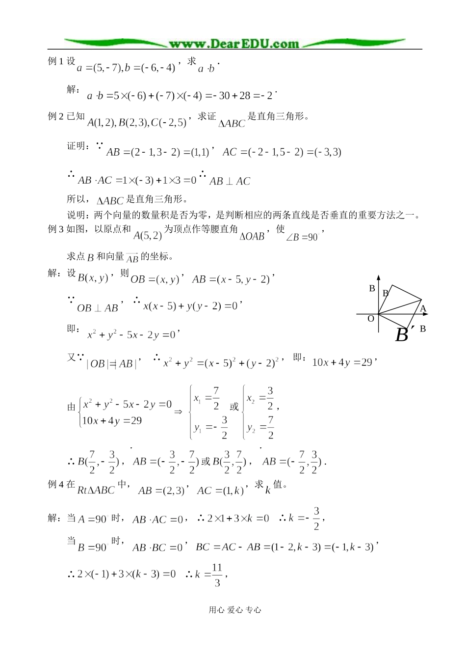
2.4 向量的数量积(2)一、课题:向量数量积(2)二、教学目标:要求学生掌握平面向量数量积的坐标表示,掌握向量垂直的坐标表示的充要条件。三、教学重、难点:1.平面向量数量积的坐标表示及由其推出的重要公式;2.向量数量积坐标表示在处理有关长度、角度、垂直问题中的应用。 四、教学过程:(一)复习:1.两平面向量垂直的充要条件;2.两向量共线的坐标表示;3.轴上单位向量,轴上单位向量,则:,,.(二)新课讲解:1.向量数量积的坐标表示:设 ,则, ∴.从而得向量数量积的坐标表示公式:.2.长度、夹角、垂直的坐标表示:① 长度: ;② 两点间的距离公式:若,则;③ 夹角:;④ 垂直的充要条件:∵,即(注意与向量共线的坐标表示的区别)3.例题分析:用心 爱心 专心例 1 设,求.解:.例 2 已知,求证是直角三角形。证明:∵,∴∴所以,是直角三角形。说明:两个向量的数量积是否为零,是判断相应的两条直线是否垂直的重要方法之一。例 3 如图,以原点和为顶点作等腰直角,使,求点和向量的坐标。解:设,则,,∵, ∴,即:,又∵, ∴, 即:,由或,∴,或, .例 4 在中,,,求值。解:当时,, ∴ ∴,当时,,,∴ ∴,用心 爱心 专心AOBBBB当时,,∴ ∴.五、课堂练习 课本练习 1,2.六、小结:两向量数量积的坐标表示:长度、夹角、垂直的坐标表示。七、作业: 课本习题 5.7 第1,4,5 题。 补充:已知,,(1)求证: (2)若与的模相等,且,求的值。用心 爱心 专心

1、当您付费下载文档后,您只拥有了使用权限,并不意味着购买了版权,文档只能用于自身使用,不得用于其他商业用途(如 [转卖]进行直接盈利或[编辑后售卖]进行间接盈利)。
2、本站所有内容均由合作方或网友上传,本站不对文档的完整性、权威性及其观点立场正确性做任何保证或承诺!文档内容仅供研究参考,付费前请自行鉴别。
3、如文档内容存在违规,或者侵犯商业秘密、侵犯著作权等,请点击“违规举报”。

碎片内容

2.4 向量的数量积(2)

您可能关注的文档

确认删除?
VIP
微信客服
  • 扫码咨询
会员Q群
  • 会员专属群点击这里加入QQ群
客服邮箱
回到顶部