电脑桌面
添加小米粒文库到电脑桌面
安装后可以在桌面快捷访问

采用材料及机械价格表VIP免费

采用材料及机械价格表_第1页
1/24
采用材料及机械价格表_第2页
2/24
采用材料及机械价格表_第3页
3/24
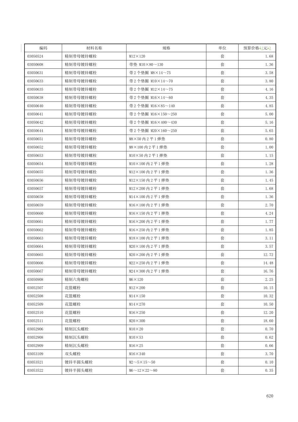
二、采用材料价格表编码材料名称规格单位预算价格((元))01030106钢丝φ1.6kg7.0001030110钢丝φ2.6kg7.0001050106钢丝绳φ4.5m0.5001050107钢丝绳φ4.5kg6.7001050111钢丝绳φ8.4m1.8001090166圆钢φ5.5~9kg3.9901090172圆钢φ10~14kg3.9901090174圆钢φ15~24kg4.0201090221镀锌圆钢φ5.5~9kg5.2001090225镀锌圆钢φ10~14kg5.2001090229镀锌圆钢φ16×1000kg5.2001130141扁钢<-59kg4.2501130142扁钢>-60kg4.2501130206镀锌扁钢-25×4kg5.3001130207镀锌扁钢-40×4kg5.3001130216镀锌扁钢-60×6kg5.3001210101角钢kg3.9601210332等边角钢∟60×5kg3.9601210791热镀锌等边角钢<∟60kg5.2001270101型钢kg4.0801290108钢板δ1.0~1.5Q235kg4.1601290116钢板δ1.5Q235kg4.1601290120钢板δ2.0~2.5Q235kg4.1601290124钢板δ3.0Q235kg4.1601290128钢板δ3.5~4.0Q235kg4.1601290135钢板δ4.5~10Q235kg4.1601290144钢板δ8.0~20Q235kg4.1601290451热镀锌钢板δ0.5~0.65kg5.1701293501钢垫板kg4.4001370301紫铜板kg65.0001450101铝板kg21.5001490121铝绑线φ2~3.2m0.3101550304封铅含铅65%含锡35%kg10.0001630303钍钨棒g0.5601650101钢材kg3.9502010516石棉橡胶板δ1.5m232.3002051002橡皮护套圈φ6~32只0.80618编码材料名称规格单位预算价格((元))02051561防水胶圈个0.1002070224橡胶垫δ0.8m217.0002070226橡胶垫δ2m217.0002070228石棉橡胶垫δ2m249.0002070425橡胶锤把4.0002090301塑料布m20.7802110100聚氯乙烯板kg10.0002110119硬聚氯乙烯板δ12kg12.0002130113塑料带20mm×40m卷6.2002130114塑料带20mm×40mkg2.5002130205尼龙扎带150根0.1702130206尼龙扎带200根0.3702130207尼龙扎带250根0.4502130208尼龙扎带300根0.5002130209尼龙扎带L=100~150根0.1602130222尼龙绳φ0.5~1.0kg62.5002130223尼龙绳φ1.5m1.0002190107聚四氟乙烯带1×30kg88.5002190142尼龙卡带4×50个0.2102230107石墨条kg10.0002270106白布m4.0002270111白纱带20mm×20m卷4.0002270131破布kg7.0002290507油浸麻丝kg9.8002330104草袋m21.5003030105木螺钉M2~4×6~65十个0.5503030123木螺钉M4.5~6×15~100十个0.7503030216镀锌半圆头螺钉M10×100十个0.4003030217镀锌半圆头螺钉M6~12×12~50十个0.1503030907沉头螺钉M4~5×35~50十个0.4003030908沉头螺钉M6×55~65十个0.6503031205自攻螺钉M4×12十个0.2603031209自攻螺钉M4×40十个0.2903031210自攻螺钉M4×50十个0.3003031211自攻螺钉M4×60十个0.3003031212自攻螺钉M4×65十个0.3103031303镀锌自攻螺钉M4~6×10~35十个0.6903050510精制带母镀锌螺栓M8×30套0.6803050523精制带母镀锌螺栓M12×100套1.55619编码材料名称规格单位预算价格((元))03050524精制带母镀锌螺栓M12×120套1.6803050608精制带母镀锌螺栓带垫M10×80~130套1.3603050631精制带母镀锌螺栓带2个垫圈M8×14~75套3.5803050633精制带母镀锌螺栓带2个垫圈M10×14~70套3.8003050635精制带母镀锌螺栓带2个垫圈M12×14~75套4.1603050638精制带母镀锌螺栓带2个垫圈M16×14~60套4.3503050640精制带母镀锌螺栓带2个垫圈M16×85~140套4.8503050641精制带母镀锌螺栓带2个垫圈M16×150~250套5.0003050642精制带母镀锌螺栓带2个垫圈M16×400~430套5.1603050644精制带母镀锌螺栓带2个垫圈M20×160~250套5.6503050651精制带母镀锌螺栓M8×50内2平1弹垫套0.8003050652精制带母镀锌螺栓M8×100内2平1弹垫套1.0003050653精制带母镀锌螺栓M10×50内2平1弹垫套1.1503050654精制带母镀锌螺栓M10×100内2平1弹垫套1.2803050655精制带母镀锌螺栓M12×100内2平1弹垫套1.3603050656精制带母镀锌螺栓M12×150内2平1弹垫套1.4503050657精制带母镀锌螺栓M12×200内2平1弹垫套1.6803050658精制带母镀锌螺栓M14×100内2平1弹垫套1.3603050659精制带母镀锌螺栓M16×100内2平1弹垫套2.7003050660精制带母镀锌螺栓M16×150内2平1弹垫套4.2403050661精制带母镀锌螺栓M16×200内2平1弹垫套1.7703050662精制带母镀锌螺栓M16×250内2平1弹垫套1.8503050663精制带母镀锌螺栓M18×100内2平1弹垫套...

1、当您付费下载文档后,您只拥有了使用权限,并不意味着购买了版权,文档只能用于自身使用,不得用于其他商业用途(如 [转卖]进行直接盈利或[编辑后售卖]进行间接盈利)。
2、本站所有内容均由合作方或网友上传,本站不对文档的完整性、权威性及其观点立场正确性做任何保证或承诺!文档内容仅供研究参考,付费前请自行鉴别。
3、如文档内容存在违规,或者侵犯商业秘密、侵犯著作权等,请点击“违规举报”。

碎片内容

采用材料及机械价格表

您可能关注的文档

最好的沉淀+ 关注
实名认证
内容提供者

行业文档

确认删除?
VIP
微信客服
  • 扫码咨询
会员Q群
  • 会员专属群点击这里加入QQ群
客服邮箱
回到顶部