电脑桌面
添加小米粒文库到电脑桌面
安装后可以在桌面快捷访问

【四维备课】高中数学 1.2.1《任意角的三角函数》教学设计(1) 新人教A版必修4

【四维备课】高中数学 1.2.1《任意角的三角函数》教学设计(1) 新人教A版必修4_第1页
1/6
【四维备课】高中数学 1.2.1《任意角的三角函数》教学设计(1) 新人教A版必修4_第2页
2/6
【四维备课】高中数学 1.2.1《任意角的三角函数》教学设计(1) 新人教A版必修4_第3页
3/6
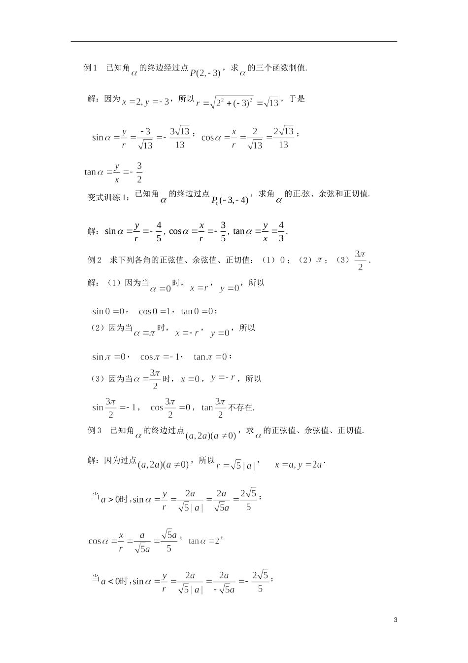
1.2.1 任意角的三角函数(1)教案【教学目标】1.掌握任意角的三角函数的定义;2.已知角终边上一点,会求角的各三角函数值;3.记住三角函数的定义域、值域,诱导公式(一).【导入新课】【复习导入一】:初中锐角的三角函数是如何定义的?在中,设对边为,对边为,对边为,锐角的正弦、余弦、正切依次为.角推广后,这样的三角函数的定义不再适用,我们必须对三角函数重新定义.【情境导入二】提问:锐角 O 的正弦、余弦、正切怎样表示?借助直角三角形,复习回顾.引入:锐角三角函数就是以锐角为自变量,以比值为函数值的函数.你能用直角坐标系中角的终边上点的坐标来表示锐角三角函数吗?设锐角 的顶点与原点O 重合,始边与 x 轴的正半轴重合,那么它的终边在第一象限.在 的终边上任取一点( , )P a b ,它与原点的距离220rab.过 P 作 x 轴 的 垂 线 , 垂 足 为 M , 则 线 段 OM 的 长 度 为 a , 线 段 MP 的 长 度 为 b . 则sinMPbOPr ;cosOMaOPr ; tanMPbOMa .思考:对于确定的角 ,这三个比值是否会随点 P 在 的终边上的位置的改变而改变呢?显然,我们可以将点取在使线段OP 的长1r  的特殊位置上,这样就可以得到用直角坐标系内的点的坐标表示锐角三角函数:sinMPbOP  ;cosOMaOP ; tanMPbOMa .思考:上述锐角 的三角函数值可以用终边上一点的坐标表示.那么,角的概念推广以后,我们应该如何对初中的三角函数的定义进行修改,以利推广到任意角呢?本节课就研究这个问题――任意角的三角函数.新授课阶段11.三角函数定义在直角坐标系中,设是一个任意角, 终边上任意一点(除了原点)的坐标为,它与原点的距离为,那么:(1)比值叫做的正弦,记作,即;(2)比值叫做的余弦,记作,即;(3)比值叫做的正切,记作,即;说明: ①的始边与轴的非负半轴重合,的终边没有表明一定是正角或负角,以及的大小,只表明与的终边相同的角所在的位置; ② 根据相似三角形的知识,对于确定的角,三个比值不以点在的终边上的位置的改变而改变大小;③ 当时, 的终边在轴上,终边上任意一点的横坐标都等于,所以无意义.④ 除以上两种情况外,对于确定的值,比值、、分别是一个确定的实数,所以正弦、余弦、正切是以角为自变量,一比值为函数值的函数,以上三种函数统称为三角函数.2.三角函数的定义域、值域函 数定 义 域值 域[...

1、当您付费下载文档后,您只拥有了使用权限,并不意味着购买了版权,文档只能用于自身使用,不得用于其他商业用途(如 [转卖]进行直接盈利或[编辑后售卖]进行间接盈利)。
2、本站所有内容均由合作方或网友上传,本站不对文档的完整性、权威性及其观点立场正确性做任何保证或承诺!文档内容仅供研究参考,付费前请自行鉴别。
3、如文档内容存在违规,或者侵犯商业秘密、侵犯著作权等,请点击“违规举报”。

碎片内容

【四维备课】高中数学 1.2.1《任意角的三角函数》教学设计(1) 新人教A版必修4

您可能关注的文档

文章天下+ 关注
实名认证
内容提供者

各种文档应有尽有

确认删除?
VIP
微信客服
  • 扫码咨询
会员Q群
  • 会员专属群点击这里加入QQ群
客服邮箱
回到顶部