电脑桌面
添加小米粒文库到电脑桌面
安装后可以在桌面快捷访问

浙江省鄞州高级中学2011届高三数学复习讲义——数列的通项公式新人教A版

浙江省鄞州高级中学2011届高三数学复习讲义——数列的通项公式新人教A版_第1页
1/5
浙江省鄞州高级中学2011届高三数学复习讲义——数列的通项公式新人教A版_第2页
2/5
浙江省鄞州高级中学2011届高三数学复习讲义——数列的通项公式新人教A版_第3页
3/5
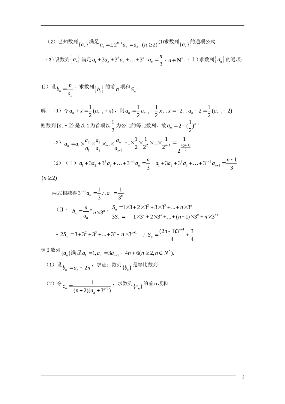
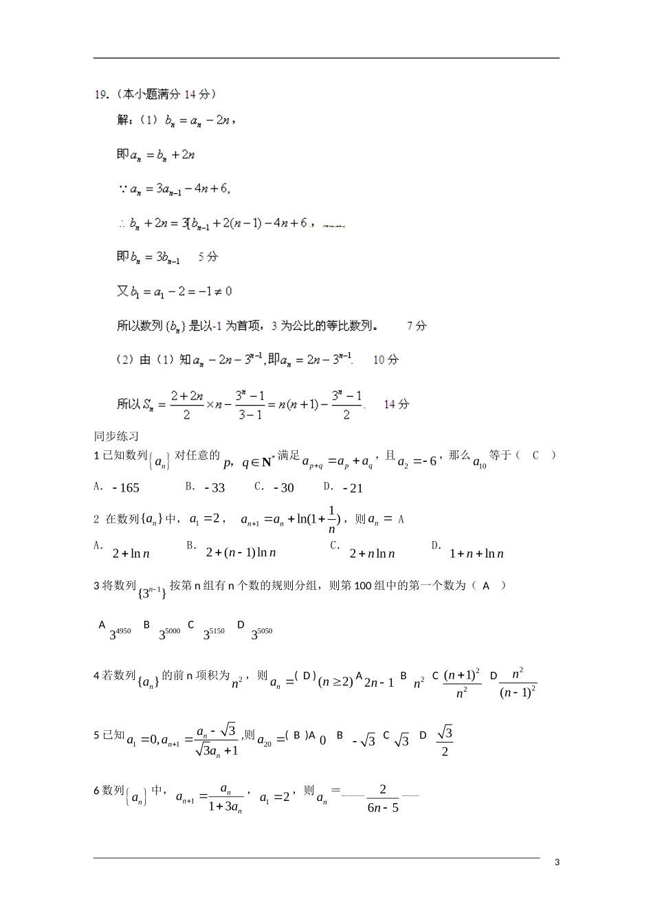
数列的通项公式知识点①、Sn 与 an之间的相互转化:an=1(1)(2)nSnSn当时当时要特别注意讨论 n=1 的情况。②、由数列的递推关系式去求通项公式:(1.)当已知数列 na中,满足)(1nfaann,则可用______________求数列的通项na .(2.) 当已知数列 na中,满足)(1nfaann,则可用______________求数列的通项na .(3 ) 1nnapar →待定系数法(1()()nnaxp ax (4 ) 1nnnpaaap →倒数型数列基本练习1.数列{an}中,若111,21(2)nnaaann,则na = 2n .2.数列{an}中,若nnannaa1,111,则na = n1 .3,数列{an}满足1112112,1(2)nnnnnnnnaaaaaana aaa且,则10a = 51 4{}na中,11a  ,133nnnaaa ,na =___23n__________5 连续的奇数按第 n 个括号有 n 个数:(1),(3,5),(7,9,11),……,则第 n 个括号第 2 个数是____32 nn_________6 已知数列 na中,372,1aa ,又数列11na为等差数列,则na  1524 n 例 1 根据下面各数列的前几项的值,写出数列的一个通项公式(1)19 17 331,,,,,...3 35 63 99 (2)3 25 37,,,,,...7 513 819 (3)7,77,777,7777,。。。 (4)1,3,7,15,31,.... 解:(1)na)12)(12(12nnn (2)na432)1(nnn (3)na)110(97n (4)na12 n例 2(1)数列{}na中1111,1(2)2nnaaan,求数列{}na的通项公式 1 (2)已知数列{}na满足1111,2(2)nnnaaan(1)求数列{}na的通项公式 (3)设数列 na满足211233333nnnaaaa…,a*N .(Ⅰ)求数列 na的通项;Ⅱ)设nnnba,求数列 nb的前n 项和nS .解:(1)令)(211xaxann,则)2(2122212111nnnnaaxxaa则数列}2{na是以-1 为首项以21 为公比的等比数列,故na1)21(2n(2)123121...nnnaaaaaaaa=2)1(122121...21211 nnn(3)(Ⅰ)211233333nnnaaaa… 22123113333nnnaaaa…)2( n 两式相减得nnnnaa313131 (Ⅱ) nnnba=nn 3,232311 32 33 3...331 32 3...(1) 33nnnnnSnSnn        13233...3332nnnnS 4343)...

1、当您付费下载文档后,您只拥有了使用权限,并不意味着购买了版权,文档只能用于自身使用,不得用于其他商业用途(如 [转卖]进行直接盈利或[编辑后售卖]进行间接盈利)。
2、本站所有内容均由合作方或网友上传,本站不对文档的完整性、权威性及其观点立场正确性做任何保证或承诺!文档内容仅供研究参考,付费前请自行鉴别。
3、如文档内容存在违规,或者侵犯商业秘密、侵犯著作权等,请点击“违规举报”。

碎片内容

浙江省鄞州高级中学2011届高三数学复习讲义——数列的通项公式新人教A版

您可能关注的文档

文章天下+ 关注
实名认证
内容提供者

各种文档应有尽有

确认删除?
VIP
微信客服
  • 扫码咨询
会员Q群
  • 会员专属群点击这里加入QQ群
客服邮箱
回到顶部