电脑桌面
添加小米粒文库到电脑桌面
安装后可以在桌面快捷访问

陕西省西安市昆仑中学2014届高考数学一轮复习讲义 第32课时 三角函数的化简、求值和证明 理

陕西省西安市昆仑中学2014届高考数学一轮复习讲义 第32课时 三角函数的化简、求值和证明 理_第1页
1/4
陕西省西安市昆仑中学2014届高考数学一轮复习讲义 第32课时 三角函数的化简、求值和证明 理_第2页
2/4
陕西省西安市昆仑中学2014届高考数学一轮复习讲义 第32课时 三角函数的化简、求值和证明 理_第3页
3/4
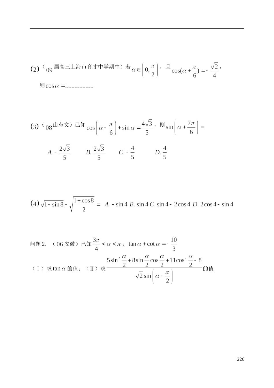
课题:三角函数的求值、化简、证明考纲要求:① 掌握以两角和与差的正余弦公式为核心的公式组.② 理解这一些公式之间的关系;③以公式应用为基础解决三角函数的性质问题.教材复习① 两角和与差的正余弦公式: ; ② 倍角公式及其推论:二倍角公式: = = , ; ; ; 基本知识方法 寻求角与角之间的关系,化非特殊角为特殊角;正确灵活地运用公式,通过三角变换消去或约去一些非特殊角的三角函数值;一些常规技巧:“ ”的代换、切割化弦、和积互化、异角化同角等.三角函数式的化简常用方法是:异名函数化为同名三角函数,异角化为同角,异次化为同次,切割化弦,特殊值与特殊角的三角函数互化.三角恒等式的证明:三角恒等式包括有条件的恒等式和无条件的恒等式.① 无条件的等式证明的基本方法是化繁为简、左右归一、变更命题等,使等式两端的“异”化为“同”;②有条件的等式常用方法有:代入法、消去法、综合法、分析法等.(三)典型分析:问题 1.(重庆) 225(届高三上海市育才中学期中)若,且,则 (山东文)已知,则 问题 2.(安徽)已知,(Ⅰ)求的值;(Ⅱ)求的值226问题 3:(天津)已知函数,. (Ⅰ) 求的最小正周期; (Ⅱ) 求在区间上的最大值和最小值. 问题 4:已知均为锐角,且满足,. 求证:课后作业:(萍乡模拟) 化简: 求的值.227 (全国Ⅲ文) ;; ;(福建文)已知.(Ⅰ)求的值;(Ⅱ)求的值.(届高三江西赣州市期中文)已知求函数的最小正周期和图象的对称轴方程求函数在上的值域.走向高考:(上海)若,,则 (辽宁文)已知,则 228

1、当您付费下载文档后,您只拥有了使用权限,并不意味着购买了版权,文档只能用于自身使用,不得用于其他商业用途(如 [转卖]进行直接盈利或[编辑后售卖]进行间接盈利)。
2、本站所有内容均由合作方或网友上传,本站不对文档的完整性、权威性及其观点立场正确性做任何保证或承诺!文档内容仅供研究参考,付费前请自行鉴别。
3、如文档内容存在违规,或者侵犯商业秘密、侵犯著作权等,请点击“违规举报”。

碎片内容

陕西省西安市昆仑中学2014届高考数学一轮复习讲义 第32课时 三角函数的化简、求值和证明 理

您可能关注的文档

确认删除?
VIP
微信客服
  • 扫码咨询
会员Q群
  • 会员专属群点击这里加入QQ群
客服邮箱
回到顶部