电脑桌面
添加小米粒文库到电脑桌面
安装后可以在桌面快捷访问

人教版数学八年级下 第十七章勾股定理知识点总结VIP专享

人教版数学八年级下 第十七章勾股定理知识点总结_第1页
1/5
人教版数学八年级下 第十七章勾股定理知识点总结_第2页
2/5
人教版数学八年级下 第十七章勾股定理知识点总结_第3页
3/5
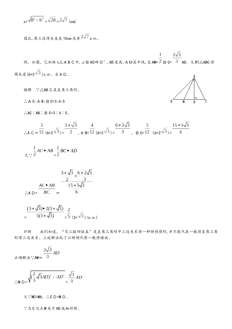
第十七章 勾股定理17、1 勾股定理1、勾股定理:假如直角三角形两直角边长分别为a、b,斜边长为c,那么勾股定理得证明:方法一:√ 2,√ 2 ,化简可证、方法二:四个直角三角形得面积与小正方形面积得和等于大正方形得面积、四个直角三角形得面积与小正方形面积得和为 大正方形面积为 ∴方法三:,,化简得证17、2 勾股定理得逆定理2、勾股定理得逆定理:假如三角形得三边长 a、b、c满足,那么这个三角形是直角三角形、3、互逆命题得概念 假如一个命题得题设和结论分别是另一个命题得结论和题设,这样得两个命题叫做互逆命题、假如把其中一个叫做原命题,那么另一个叫做它得逆命题、4、勾股数:能够构成直角三角形得三边长得三个正整数称为勾股数,即中,Δ ,a ,b 为正整数时,称c ,a2,+b2+c2+338=10a+24b+26c为一组勾股数常见得勾股数有:3、4、5;6、8、1 0;5、12、1 3;7、24、2 5等bacbaccabcabcbaHGFEDCBAabccbaEDCBA例、在 R t△A B C 中,a=3,b=4,求 c、错解由勾股定理,得 c===5诊断 这里默认了∠C 为直角、其实,题目中没有明确哪个角为直角,当b>a时,∠B 可以为直角,故本题解答遗漏了这一种情况、 当∠B 为直角时,c===例、已知 Rt△ABC 中,∠B=R T∠,a=,c=,求 b、错解 由勾股定理,得B===诊断 这里错在盲目地套用勾股定理“a2+b 2=c2”、殊不知,只有当∠C=R t∠时,a 2+b2=c 2才能成立,而当∠B=R t∠时,则勾股定理得表达式应为a2+c2=b 2、正确解答 ∠B=Rt∠,由勾股定理知a 2+c2=b2、∴b===例、若直角三角形得两条边长为6 cm、8c m,则第三边长为________、错解 设第三边长为xc m、由勾股定理,得x2=62+82、x===10即第三边长为1 0cm、诊断 这里在利用勾股定理计算时,误认为第三边为斜边,其实题设中并没有说明已知得两边为直角边,∴第三边可能是斜边,也可能是直角边、正确解法 设第三边长为x cm、若第三边长为斜边,由勾股定理,得x===1 0(c m)若第三边长为直角边,则 8c m长得边必为斜边,由勾股定理,得x===(cm)因此,第三边得长度是 10cm 或者c m、例、如图,已知R t△A B C中,∠B AC=9 0°,AD 是高,AM是中线,且 AM=B C=AD、又 RT△ABC 得周长是(6+2)c m、求AD、错解 △AB C是直角三角形,∴A C:A B:B C=3:4:5∴AC∶AB∶B C=3∶4∶5、∴A C=(6+2)=,A B=(6+2)=,B C=(6+2)=又...

1、当您付费下载文档后,您只拥有了使用权限,并不意味着购买了版权,文档只能用于自身使用,不得用于其他商业用途(如 [转卖]进行直接盈利或[编辑后售卖]进行间接盈利)。
2、本站所有内容均由合作方或网友上传,本站不对文档的完整性、权威性及其观点立场正确性做任何保证或承诺!文档内容仅供研究参考,付费前请自行鉴别。
3、如文档内容存在违规,或者侵犯商业秘密、侵犯著作权等,请点击“违规举报”。

碎片内容

人教版数学八年级下 第十七章勾股定理知识点总结

确认删除?
VIP
微信客服
  • 扫码咨询
会员Q群
  • 会员专属群点击这里加入QQ群
客服邮箱
回到顶部