电脑桌面
添加小米粒文库到电脑桌面
安装后可以在桌面快捷访问

(2025秋季)新人教版七年级数学上册1.5.1 第2课时 有理数的混合运算 课件

(2025秋季)新人教版七年级数学上册1.5.1 第2课时 有理数的混合运算 课件(2025秋季)新人教版七年级数学上册1.5.1 第2课时 有理数的混合运算 课件(2025秋季)新人教版七年级数学上册1.5.1 第2课时 有理数的混合运算 课件(2025秋季)新人教版七年级数学上册1.5.1 第2课时 有理数的混合运算 课件
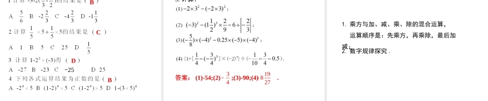
导入新课讲授新课当堂练习课堂小结1.5.1 乘 方第一章 有理数第 2 课时 有理数的混合运算1.5 有理数的乘方七年级数学上( RJ ) 教学课件学习目标1. 进一步掌握有理数的运算法则和运算律 .2. 熟练地按有理数运算顺序进行混合运算 .( 重点、难点)导入新课情境引入喜羊羊之种花篇圆形花坛的半径为 3m ,中间雕塑的底面是边长为 1 m的正方形估计每平方米种 9株花,我要买几株花呀?羊村的花坛里的花都快枯萎了,我们重新种上吧!小意思,我会算!1m3m思考 : 上式含有哪几种运算 ? 先算什么,后算什么?22(π 3) 9-1加减运算乘方运算第一级运算第三级运算乘除运算第二级运算学科网合作探究讲授新课有理数的混合运算一做有理数的混合运算时,应注意以下运算顺序1. 先乘方,再乘除,最后加减;2. 同级运算,从左到右进行;3. 如有括号,先做括号内的运算,按小括号、 中括号、大括号依次进行 .要点归纳例 1 计算:(1)2×(-3)3-4×(-3)+15;(2)(-2)3+(-3)×[(-4)2+2]-(-3)2÷(-2).解: (1) 原式 =2×(-27)-(-12)+15=-54+12+15=-27=-8+(-3)×18-(-4.5)(2) 原式 =-8+(-3)×(16+2)-9÷(-2)=-8-54+4.5=-57.5典例精析练一练3412 ( 5)3()2 ()1031 ( 1)2( 2)4  ()解 : 原式 =1×2+(-8)÷4=2+(-2)=01= 1253163= 125163= 12516解 : 原式)(解:原式 = - 4- 36= - 4 - 36361= - 4= - 5- 1)((3) 例 2 计算: )()3(95322解法一:解:原式 = )(9911解法二:解: 原式 =)(9)(99532点拨:在运算过程中,巧用运算律,可简化计算讨论交流:你认为哪种方法更好呢?= -11 =-6+ ( -5 ) =-11例 2 观察下面三行数: -2 , 4 , -8 , 16 , -32 , 64 ,…;① 0 , 6 , -6 , 18 , -30 , 66 ,…;② -1 , 2 , -4 , 8 , -16 , 32 ,… . ③( 1 )第①行数按什么规律排列?解:( 1 )第①行数是数字规律探究二分析:观察①,发现各数均为 2 的倍数 . 联系数的乘方,从符号和绝对值两方面考虑,可发现排列的规律 .( 2 )第②③行数与第①行数分别有什么关系?解:( 2 )第②行数是第①行相应的数加 2 ,即 第③行数是第①行相应的数除以 2 ,即234( 2)2222222,...,(),(),()( 3...

1、当您付费下载文档后,您只拥有了使用权限,并不意味着购买了版权,文档只能用于自身使用,不得用于其他商业用途(如 [转卖]进行直接盈利或[编辑后售卖]进行间接盈利)。
2、本站所有内容均由合作方或网友上传,本站不对文档的完整性、权威性及其观点立场正确性做任何保证或承诺!文档内容仅供研究参考,付费前请自行鉴别。
3、如文档内容存在违规,或者侵犯商业秘密、侵犯著作权等,请点击“违规举报”。

碎片内容

(2025秋季)新人教版七年级数学上册1.5.1 第2课时 有理数的混合运算 课件

您可能关注的文档

确认删除?
VIP
微信客服
  • 扫码咨询
会员Q群
  • 会员专属群点击这里加入QQ群
客服邮箱
回到顶部