电脑桌面
添加小米粒文库到电脑桌面
安装后可以在桌面快捷访问

《造价管理基础理论与相关法规》公式总汇

《造价管理基础理论与相关法规》公式总汇_第1页
1/12
《造价管理基础理论与相关法规》公式总汇_第2页
2/12
《造价管理基础理论与相关法规》公式总汇_第3页
3/12
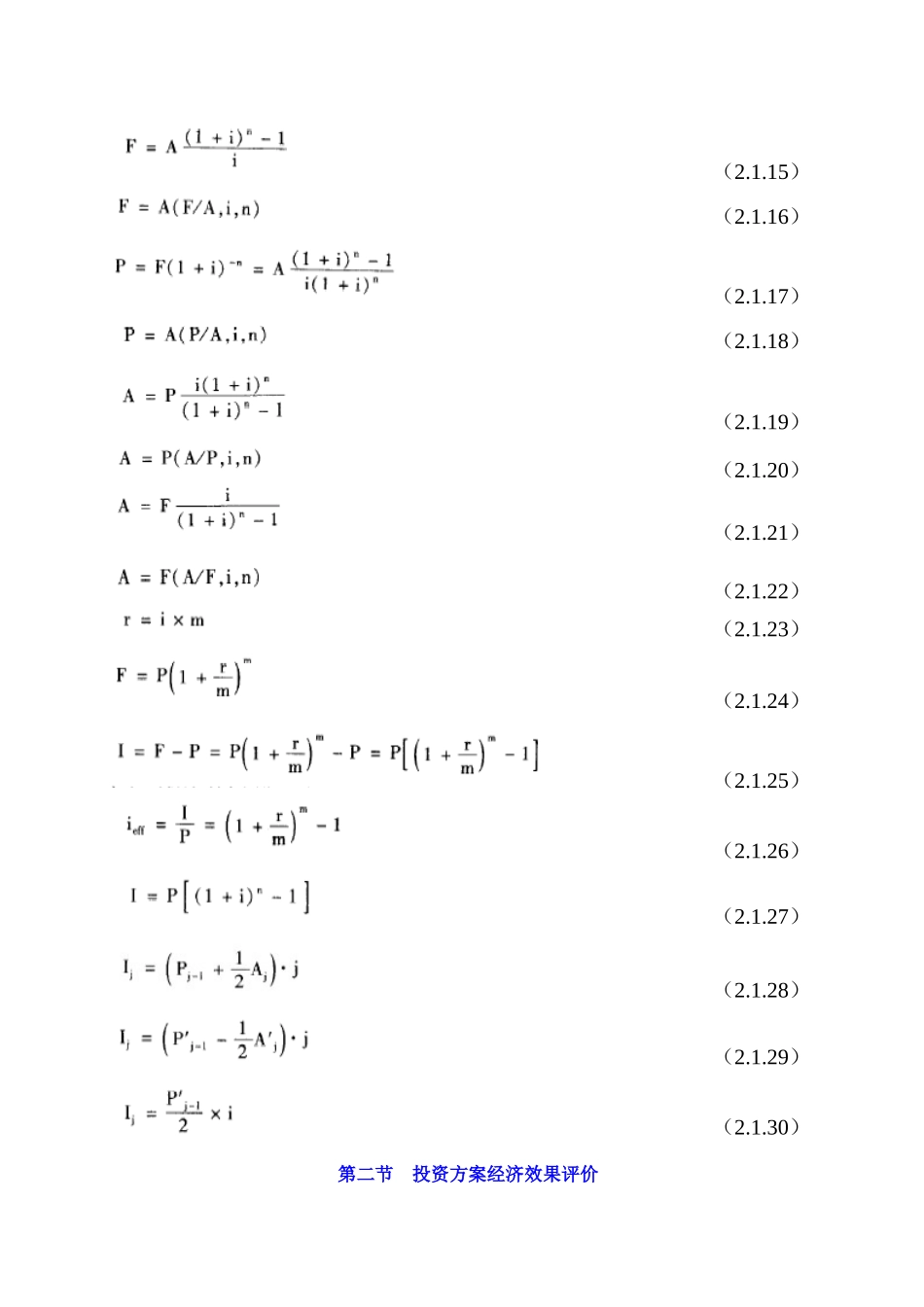
《相关》公式总汇第一章 工程造价管理概论(1.1.1)(1.1.2)第二章 工程经济第一节 现金流量与资金的时间价值时间价值的概念利息 I=目前应付(应收)总金额 F-本金 P(2.1.1)(2.1.2)利息计算▲单利计算It=P×is(2.1.3)(2.1.4)F=P+In=P(1+nis)(2.1.5)▲复利计算It=i×Ft-1(2.1.6)(2.1.7)(2.1.8)(2.1.9)(2.1.10)(2.1.11)(2.1.13)(2.1.14)(2.1.15)(2.1.16)(2.1.17)(2.1.18)(2.1.19)(2.1.20)(2.1.21)(2.1.22)(2.1.23)(2.1.24)(2.1.25)(2.1.26)(2.1.27)(2.1.28)(2.1.29)(2.1.30)第二节 投资方案经济效果评价(2.2.1)(2.2.2)(2.2.3)(2.2.4)(2.2.5)(2.2.6)(2.2.7)(2.2.8)(2.2.9)(2.2.10)(2.2.11)(2.2.12)(2.2.13)(2.2.14)(2.2.15)(2.2.16)(2.2.17)(2.2.18)(2.2.19)(2.2.20)(2.2.21)(2.2.22)(2.2.23)(2.2.24)(2.2.25)(2.2.26)(2.2.27)(2.2.28)(2.2.29)(2.2.30)(2.2.31)(2.2.32)(2.2.33)(2.2.34)(2.2.35)(2.2.36)(2.2.37)(2.2.38)(2.2.39)(2.2.40)(2.2.41)(2.2.42)(2.2.43)(2.2.44)(2.2.45)(2.2.46)(2.2.47)(2.2.48)(2.2.49)(2.2.50)第三节 设备更新方案比选(2.3.1)(2.3.2)(2.3.3)(2.3.4)(2.3.5)(2.3.6)(2.3.7)(2.3.8)(2.3.9)(2.3.10)(2.3.11)(2.3.12)(2.3.13)(2.3.14)(2.3.15)第四节 不确定性分析(2.4.1)(2.4.2)(2.4.3)(2.4.4a)(2.4.4b)(2.4.5)(2.4.6)(2.4.7)(2.4.8)(2.4.9)(2.4.10)(2.4.11)第五节 寿命周期成本分析(2.5.1)(2.5.2)(2.5.3)(2.5.4)(2.5.5)第六节 价值工程的理论及应用(2.6.1)(2.6.2)(2.6.3)(2.6.4)(2.6.5)(2.6.6)(2.6.7)(2.6.8)(2.6.9)(2.6.10)(2.6.11)第三章 工程财务第一节 工程资金筹措与融资(3.1.1)(3.1.2)(3.1.3)(3.1.4)(3.1.5)(3.1.6)(3.1.7)(3.1.8)(3.1.9)(3.1.10)(3.1.11)(3.1.12)(3.1.13)(3.1.14)(3.1.15)(3.1.16)(3.1.17)(3.1.18)(3.1.19)(3.1.20)(3.1.21)(3.1.22)(3.1.23)第二节 项目成本管理(3.2.1)(3.2.2)工作量法-按里程(3.2.3)(3.2.4)工作量法-按台班(3.2.5)(3.2.6)双倍余额递减法(3.2.7)(3.2.8)年数总和法(3.2.9)(3.2.10)(3.2.11)(3.2.12)(3.2.13)(3.2.14)(3.2.15)第三节 项目财务分析(3.3.1)(3.3.2)(3.3.3)(3.3.4)(3.3.5)(3.3.6)(3.3.7)(3.3.8)(3.3.9)(3.3.10)(3.3.11)第四章 工程项目管理第五章 经济法律法规-完-

1、当您付费下载文档后,您只拥有了使用权限,并不意味着购买了版权,文档只能用于自身使用,不得用于其他商业用途(如 [转卖]进行直接盈利或[编辑后售卖]进行间接盈利)。
2、本站所有内容均由合作方或网友上传,本站不对文档的完整性、权威性及其观点立场正确性做任何保证或承诺!文档内容仅供研究参考,付费前请自行鉴别。
3、如文档内容存在违规,或者侵犯商业秘密、侵犯著作权等,请点击“违规举报”。

碎片内容

《造价管理基础理论与相关法规》公式总汇

您可能关注的文档

MY shop+ 关注
实名认证
内容提供者

欢迎挑选适合自己的材料。

相关文档

确认删除?
VIP
微信客服
  • 扫码咨询
会员Q群
  • 会员专属群点击这里加入QQ群
客服邮箱
回到顶部