电脑桌面
添加小米粒文库到电脑桌面
安装后可以在桌面快捷访问

注册岩土基础-数学-不定积分、定积分、广义积分的的概念及计算

注册岩土基础-数学-不定积分、定积分、广义积分的的概念及计算_第1页
1/22
注册岩土基础-数学-不定积分、定积分、广义积分的的概念及计算_第2页
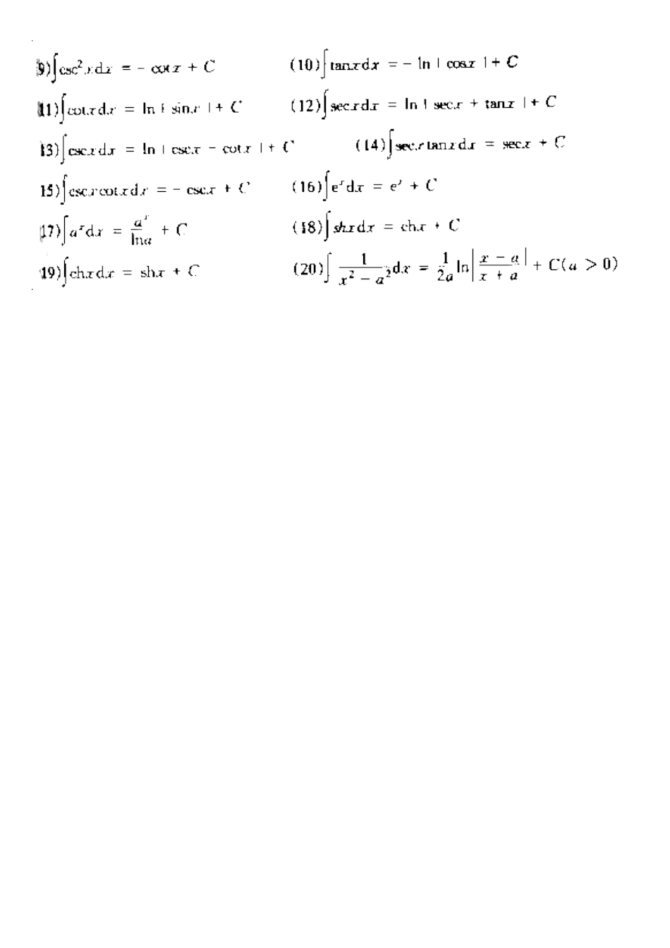
2/22
注册岩土基础-数学-不定积分、定积分、广义积分的的概念及计算_第3页
3/22
第四讲 不定积分、定积分、广义积分的的概念及计算一、内容提要:本讲主要是讲解不定积分的概念与性质,不定积分的换元积分法和分部积分法,定积分的概念与性质, 定积分的换元积分法和分部积分法,无穷限的广义积分和无界函数的广义积分。二、重点:本讲的重点是 不定积分和定积分的换元积分法和分部积分法 。难点:本讲的难点是广义积分的计算。三、内容讲解:1、 不定积分:1.1 原函数的概念:假如在区间 I 内,可导函数 F(x)的导函数为 f(x),即对任一 x∈I 都有 F’(x)=f(x)或 d F(x)= f(x)dx,那末函数 F(x)就称为 f(x)(或 f(x)dx)在区间 I 内的原函数。原函数存在的定理:假如函数 f(x)在区间 I 内连续,那末在区间 I 内存在可导函数F(x),使对任一 x∈I 都有 F’(x)=f(x)。 1.2 不定积分的概念:在区间 I 内,函数 f(x)的带有任意常数项的原函数称为 f(x)(或f(x)dx)2.定积分3.广义积分 :3.2 无界函数的广义积分:

1、当您付费下载文档后,您只拥有了使用权限,并不意味着购买了版权,文档只能用于自身使用,不得用于其他商业用途(如 [转卖]进行直接盈利或[编辑后售卖]进行间接盈利)。
2、本站所有内容均由合作方或网友上传,本站不对文档的完整性、权威性及其观点立场正确性做任何保证或承诺!文档内容仅供研究参考,付费前请自行鉴别。
3、如文档内容存在违规,或者侵犯商业秘密、侵犯著作权等,请点击“违规举报”。

碎片内容

注册岩土基础-数学-不定积分、定积分、广义积分的的概念及计算

确认删除?
VIP
微信客服
  • 扫码咨询
会员Q群
  • 会员专属群点击这里加入QQ群
客服邮箱
回到顶部