电脑桌面
添加小米粒文库到电脑桌面
安装后可以在桌面快捷访问

高中数学 第四章 指数函数与对数函数 4.1.2 指数幂及其运算学案 新人教A版必修第一册-新人教A版高一第一册数学学案

高中数学 第四章 指数函数与对数函数 4.1.2 指数幂及其运算学案 新人教A版必修第一册-新人教A版高一第一册数学学案_第1页
1/13
高中数学 第四章 指数函数与对数函数 4.1.2 指数幂及其运算学案 新人教A版必修第一册-新人教A版高一第一册数学学案_第2页
2/13
高中数学 第四章 指数函数与对数函数 4.1.2 指数幂及其运算学案 新人教A版必修第一册-新人教A版高一第一册数学学案_第3页
3/13
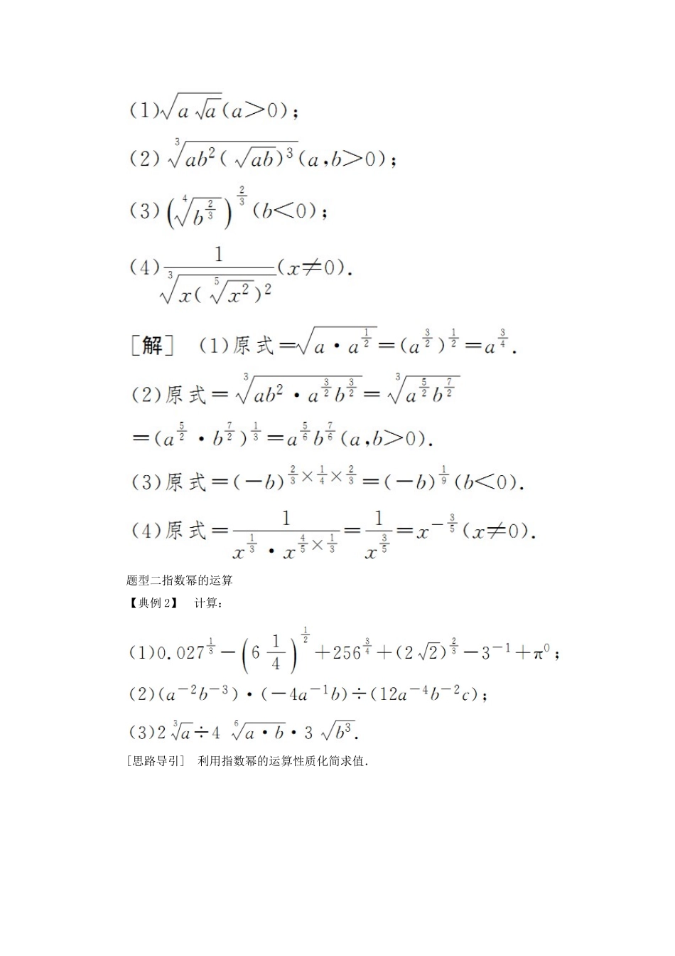
第 2 课时 指数幂及其运算1.学会根式与分数指数幂之间的相互转化.2.掌握用有理数指数幂的运算性质化简求值.3.了解无理数指数幂的意义.1.分数指数幂的意义温馨提示:(1)分数指数幂 a 不可以理解为个 a 相乘.(2)对于正分数指数幂,规定其底数是正数.2.有理数指数幂的运算性质(1)aras=a r + s (a>0,r,s∈Q);(2)(ar)s=a rs (a>0,r,s∈Q);(3)(ab)r=a r b r (a>0,b>0,r∈Q).3.无理数指数幂一般地,无理数指数幂 aα(a>0,α 是无理数)是一个确定的实数.有理数指数幂的运算性质同样适用于无理数指数幂.温馨提示:(1)对于无理指数幂,只需了解两点:①它是一个确定的实数;②它是有理数幂无限逼近的结果.(2)a-b=(a>0,b 是正无理数).(3)定义了无理数指数幂后,幂的指数由原来的有理数范围扩充到了实数范围.[答案] 成立2.判断正误(正确的打“√”,错误的打“×”)(1)只要根式有意义,都能化成分数指数幂的形式.( )(2)分数指数幂 a 可以理解为个 a 相乘.( )(3)0 的任何指数幂都等于 0.( )(4)[(a-b)2]=a-b.( )[答案] (1)√ (2)× (3)× (4)×题型一根式与分数指数幂的互化【典例 1】 用分数指数幂的形式表示下列各式(式中字母都是正数):(1);(2)a3·;(3) .根式与分数指数幂互化的规律(2)在具体计算时,通常会把根式转化成分数指数幂的形式,然后利用有理数指数幂的运算性质解题.[针对训练]1.用分数指数幂表示下列各式:题型二指数幂的运算【典例 2】 计算:[思路导引] 利用指数幂的运算性质化简求值.利用指数幂的运算性质化简求值的方法(1)进行指数幂的运算时,一般化负指数为正指数,化根式为分数指数幂,化小数为分数,同时兼顾运算的顺序.(2)在明确根指数的奇偶(或具体次数)时,若能明确被开方数的符号,则可以对根式进行化简运算.[针对训练]2.计算:题型三条件求值问题[变式] (1)若本例条件不变,则 a2-a-2=________.[答案] (1)±3 (2)-解决条件求值问题的一般方法——整体代入法对于条件求值问题,一般先化简代数式,再将字母取值代入求值.但有时字母的取值不知道或不易求出,这时可将所求代数式恰当地变形,构造出与已知条件相同或相似的结构,从而通过“整体代入法”巧妙地求出代数式的值.利用“整体代入法”求值常用的变形公式如下(a>0,b>0):课堂归纳小结1.指数幂的一般运算步骤一定要遵循去括号,负数指数幂化为正数指数幂,及底数是负数、小...

1、当您付费下载文档后,您只拥有了使用权限,并不意味着购买了版权,文档只能用于自身使用,不得用于其他商业用途(如 [转卖]进行直接盈利或[编辑后售卖]进行间接盈利)。
2、本站所有内容均由合作方或网友上传,本站不对文档的完整性、权威性及其观点立场正确性做任何保证或承诺!文档内容仅供研究参考,付费前请自行鉴别。
3、如文档内容存在违规,或者侵犯商业秘密、侵犯著作权等,请点击“违规举报”。

碎片内容

高中数学 第四章 指数函数与对数函数 4.1.2 指数幂及其运算学案 新人教A版必修第一册-新人教A版高一第一册数学学案

您可能关注的文档

文章天下+ 关注
实名认证
内容提供者

各种文档应有尽有

确认删除?
VIP
微信客服
  • 扫码咨询
会员Q群
  • 会员专属群点击这里加入QQ群
客服邮箱
回到顶部