电脑桌面
添加小米粒文库到电脑桌面
安装后可以在桌面快捷访问

高中数学 解三角形的易错题素材 苏教版必修5

高中数学 解三角形的易错题素材 苏教版必修5_第1页
1/3
高中数学 解三角形的易错题素材 苏教版必修5_第2页
2/3
高中数学 解三角形的易错题素材 苏教版必修5_第3页
3/3
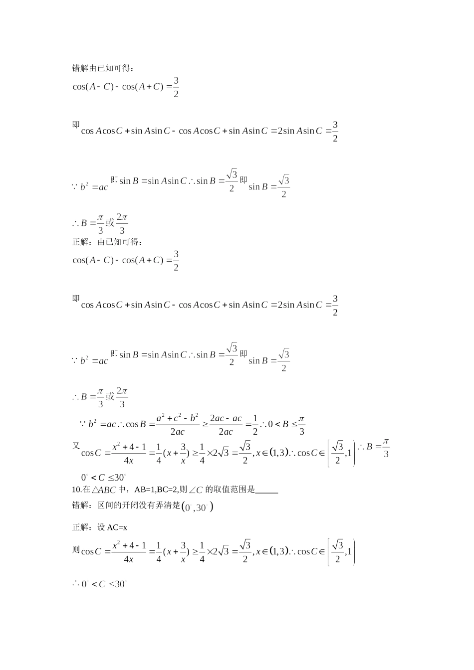
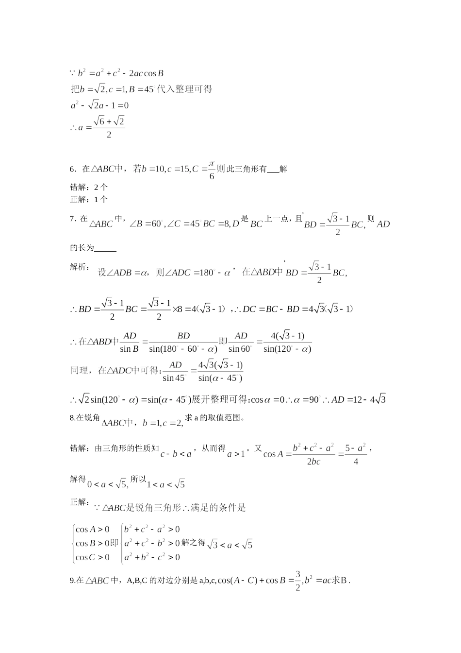
正弦定理,余弦定理中易错的题1.根据下列条件解三角形:错解:正解: 2.在中, 分析:这类题学生错误之处在于,漏解。因为互补角的正弦值是相等的,所以某个角的正弦值会对应两个角度。这类题需要验证。两根的取舍还须满足三角形三角之和为 180 度。3. 4. 这类问题学生做错的原因在于:学生所学的必修 4 中三角的内容遗忘了,很多学生知道用正弦的变形形式把边化角。但下面做不下去,化简不出来。5.在 。错解:正解:法一:利用正弦定理解法二:利用余弦定理来解6.在此三角形有 解错解:2 个正解:1 个7.在中,是上一点,且则的长为 解析: ,8.在锐角求 a 的取值范围。错解:由三角形的性质知,从而得。又,解得所以正解:解之得9.在中,A,B,C 的对边分别是 a,b,c,.错解由已知可得:即即即 正解:由已知可得:即即即 又10.在中,AB=1,BC=2,则的取值范围是 错解:区间的开闭没有弄清楚正解:设 AC=x则

1、当您付费下载文档后,您只拥有了使用权限,并不意味着购买了版权,文档只能用于自身使用,不得用于其他商业用途(如 [转卖]进行直接盈利或[编辑后售卖]进行间接盈利)。
2、本站所有内容均由合作方或网友上传,本站不对文档的完整性、权威性及其观点立场正确性做任何保证或承诺!文档内容仅供研究参考,付费前请自行鉴别。
3、如文档内容存在违规,或者侵犯商业秘密、侵犯著作权等,请点击“违规举报”。

碎片内容

高中数学 解三角形的易错题素材 苏教版必修5

您可能关注的文档

文章天下+ 关注
实名认证
内容提供者

各种文档应有尽有

确认删除?
VIP
微信客服
  • 扫码咨询
会员Q群
  • 会员专属群点击这里加入QQ群
客服邮箱
回到顶部