电脑桌面
添加小米粒文库到电脑桌面
安装后可以在桌面快捷访问

高中数学《导数在研究函数中的应用》文字素材2 新人教A版选修2-2

高中数学《导数在研究函数中的应用》文字素材2 新人教A版选修2-2_第1页
1/8
高中数学《导数在研究函数中的应用》文字素材2 新人教A版选修2-2_第2页
2/8
高中数学《导数在研究函数中的应用》文字素材2 新人教A版选修2-2_第3页
3/8
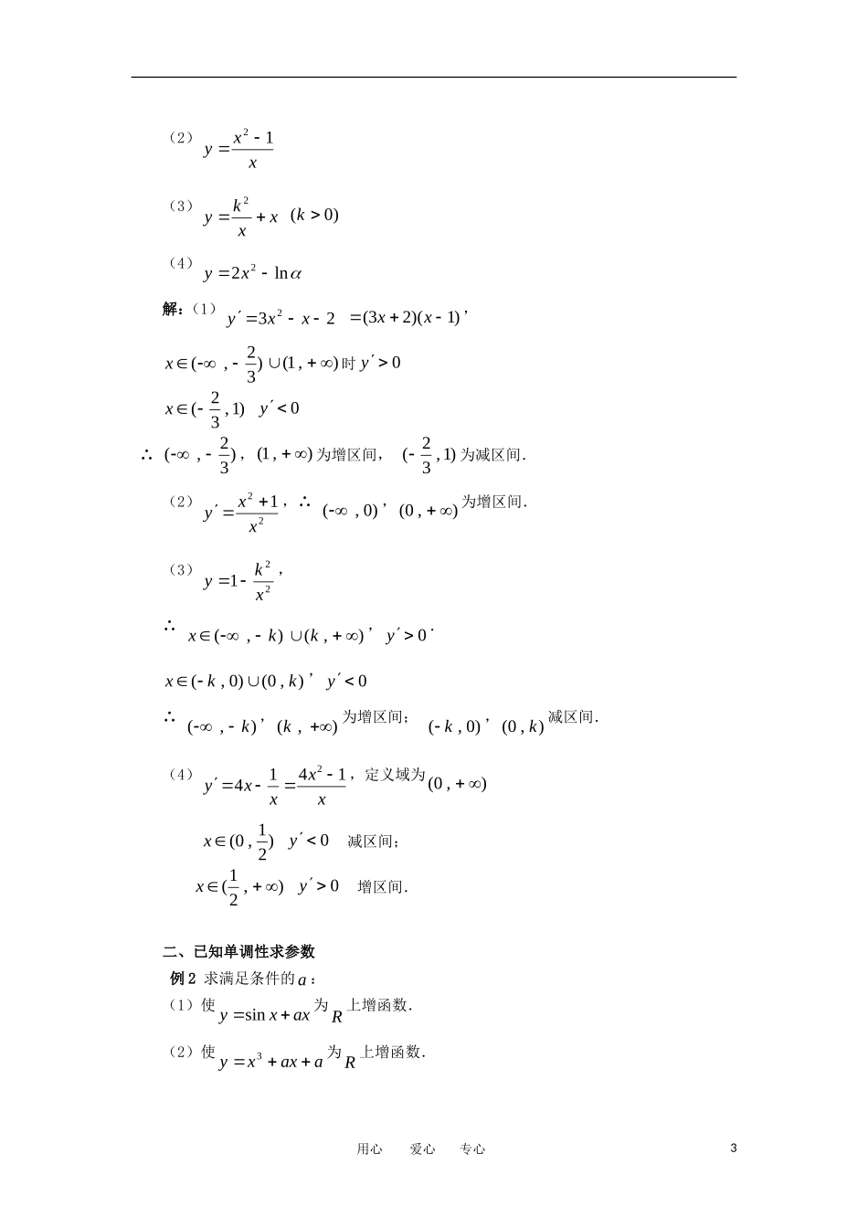
用导数法求“双二次函数”的单调区间更简单有些问题如果采用复合函数的求解方法,对学生逻辑思维能力要求比较高,并且通常集化归和讨论等数学思想于一体,容易使思维陷入混乱,对准确、迅速解题提出了更高的要求.而用导数法求解“双二次函数”的单调区间,方向明确,简单明了,是求“双二次函数”的单调区间的首选方法.下面对两种解法作一比较.例 )2()(,28)(22xfxgxxxf,则)(xg在A.)0,1(上递减 B.)1,0(上递减 C.)0,2(上递增 D.(0,2)上递增解法一:直接采用求复合函数单调区间的一般方法思路点拨 容易知道)(xf在)1,(上递增,在),1(  上递减,为讨论22x在)1,(及),1(  上的单调性,必须先解不等式:122  x得12,112 xx,得1x或1x.当11x时,122  x,)(xf递减;又22x在)0,1(上递增,在)1,0(上递减,故)(xg在)0,1(上递减,在)1,0(上递增;当1x或1x时,122  x,)(xf递增,又22x在)1,(上递增,),1(  上递减,故)(xg在)1,(上递增,在),1(  上递减.故选 A.把上面的叙述整理成下面的表格:x 的范围)0,1()1,0()1,(),1( 22xt递增递减递增递减t 的范围),1( )1,()(tf递 减递 增)(xg递减递增递增递减评 注 : 讨 论 “ 双 二 次 函 数 ” 的 单 调 性 的 根 据 是 : 设nmubaxxguufy,,,),(),(都是单调函数,则)(xgfy 在ba,上也是单调函数.(1)若)(ufy 是nm,上的增函数,则)(xgfy 的增减性与)(xgu 的增减性相同;(2)若)(ufy 是nm,上的减函数,则)(xgfy 的增减性与)(xgu 的增减性相反.解法二:利用导数法求单调区间用心 爱心 专心1解 )2()(,28)(22xfxgxxxf∴82)(24xxxg∴xxxg44)('3 当1x或10 x时,0)('xg.当01x或1x时,0)('xg.∴当1x或10 x时,)(xg递增.当01x或1x时,)(xg递减.故选 A评注:该题直接用导数法求函数的单调区间,简明快捷.运用导数解决有关单调性问题一般地,设函数 y=f(x)在某个区间内可导.如果 f '(x)>0,则 f(x)为增函数;如果 f '(x)<0,则 f(x)为减函数.单调性是导数应用的重点内容,主要有三类问题:①运用导数判断单调区间或证明单调性;②已知单调性求参数;③先证明其单调性,再运用单调性证明不等式等问...

1、当您付费下载文档后,您只拥有了使用权限,并不意味着购买了版权,文档只能用于自身使用,不得用于其他商业用途(如 [转卖]进行直接盈利或[编辑后售卖]进行间接盈利)。
2、本站所有内容均由合作方或网友上传,本站不对文档的完整性、权威性及其观点立场正确性做任何保证或承诺!文档内容仅供研究参考,付费前请自行鉴别。
3、如文档内容存在违规,或者侵犯商业秘密、侵犯著作权等,请点击“违规举报”。

碎片内容

高中数学《导数在研究函数中的应用》文字素材2 新人教A版选修2-2

您可能关注的文档

文章天下+ 关注
实名认证
内容提供者

各种文档应有尽有

相关文档

确认删除?
VIP
微信客服
  • 扫码咨询
会员Q群
  • 会员专属群点击这里加入QQ群
客服邮箱
回到顶部