电脑桌面
添加小米粒文库到电脑桌面
安装后可以在桌面快捷访问

高中数学《解三角形》例题解析素材 新人教A版必修5

高中数学《解三角形》例题解析素材 新人教A版必修5_第1页
1/4
高中数学《解三角形》例题解析素材 新人教A版必修5_第2页
2/4
高中数学《解三角形》例题解析素材 新人教A版必修5_第3页
3/4
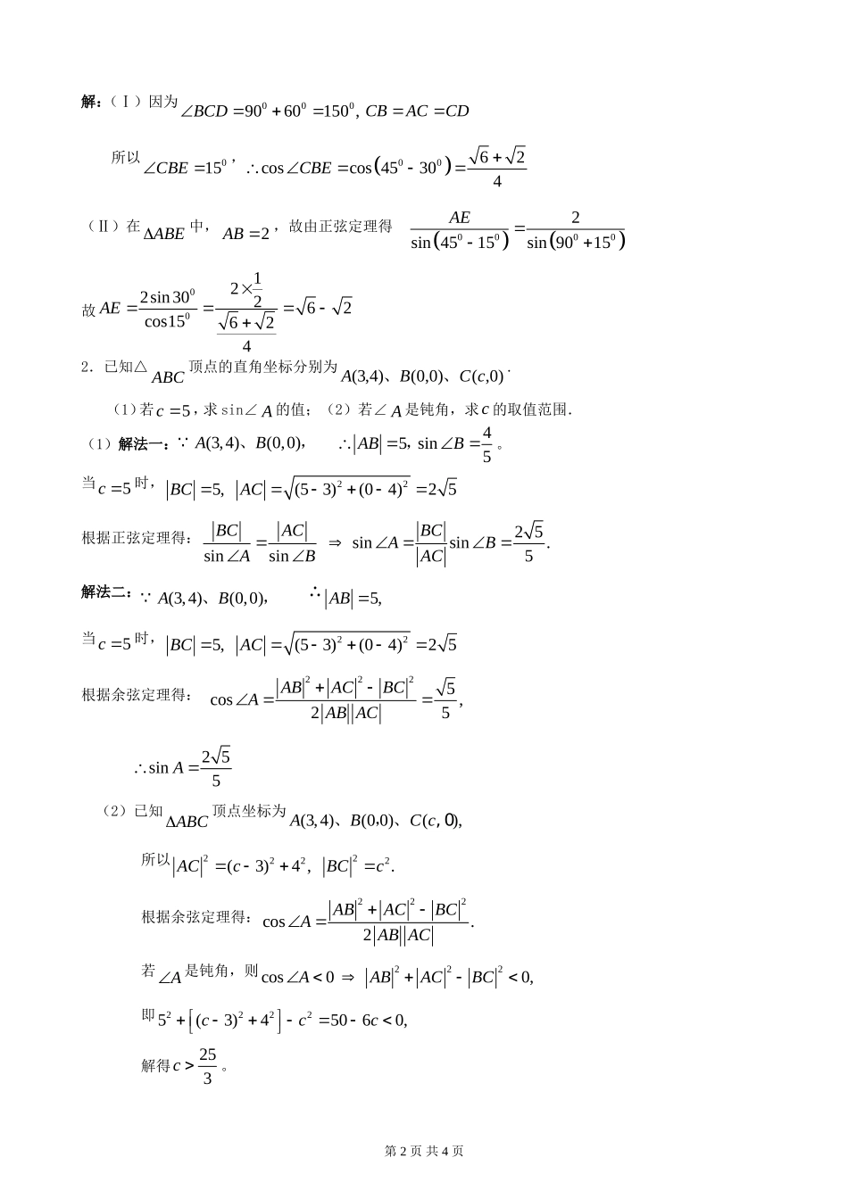
《解三角形》例题解析一、知识梳理1.正弦定理:Aasin=Bbsin=Ccsin=2R,其中 R 是三角形外接圆半径.2.余弦定理:a2=b2+c2-2bccosA,b2=a2+c2-2accosB,cosA=bcacb2222.3.S△ABC= 21absinC= 21bcsinA= 21acsinB,S△=))()((cSbSaSS=Sr(S=2cba,r 为内切圆半径)=Rabc4(R 为外接圆半径).4.在三角形中大边对大角,反之亦然.5.射影定理:a=bcosC+ccosB,b=acosC+ccosA,c=acosB+bcosA.6.三角形内角的诱导公式 (1)sin(A+B)=sinC,cos(A+B)=-cosC,tanC=-tan(A+B),cos 2C=sin2BA ,sin 2C=cos2BA …… 在△ABC 中,熟记并会证明 tanA+tanB+tanC=tanA·tanB·tanC; (2)A、B、C 成等差数列的充要条件是 B=60°; (3)△ABC 是正三角形的充要条件是 A、B、C 成等差数列且 a、b、c 成等比数列.7.解三角形常见的四种类型 (1)已知两角 A、B 与一边 a,由 A+B+C=180°及Aasin=Bbsin=Ccsin,可求出角 C,再求 b、c. (2)已知两边 b、c 与其夹角 A,由 a2=b2+c2-2bccosA,求出 a,再由余弦定理,求出角 B、C. (3)已知三边 a、b、c,由余弦定理可求出角 A、B、C. (4)已知两边 a、b 及其中一边的对角 A,由正弦定理Aasin=Bbsin,求出另一边 b 的对角 B,由 C=π-(A+B),求出 c,再由Aasin=Ccsin求出 C,而通过Aasin=Bbsin求 B 时,可能出一解,两解或无解的情况,其判断方法,如下表:A>90°A=90°A<90°a>b一解一解一解a=b无解无解一解absinA两解无解无解a=bsinA一解a

1、当您付费下载文档后,您只拥有了使用权限,并不意味着购买了版权,文档只能用于自身使用,不得用于其他商业用途(如 [转卖]进行直接盈利或[编辑后售卖]进行间接盈利)。
2、本站所有内容均由合作方或网友上传,本站不对文档的完整性、权威性及其观点立场正确性做任何保证或承诺!文档内容仅供研究参考,付费前请自行鉴别。
3、如文档内容存在违规,或者侵犯商业秘密、侵犯著作权等,请点击“违规举报”。

碎片内容

高中数学《解三角形》例题解析素材 新人教A版必修5

您可能关注的文档

文章天下+ 关注
实名认证
内容提供者

各种文档应有尽有

确认删除?
微信客服
  • 扫码咨询
会员Q群
  • 会员专属群点击这里加入QQ群