电脑桌面
添加小米粒文库到电脑桌面
安装后可以在桌面快捷访问

高中数学《曲边梯形面积与定积分》素材1 新人教B版必修2-2

高中数学《曲边梯形面积与定积分》素材1 新人教B版必修2-2_第1页
1/2
高中数学《曲边梯形面积与定积分》素材1 新人教B版必修2-2_第2页
2/2
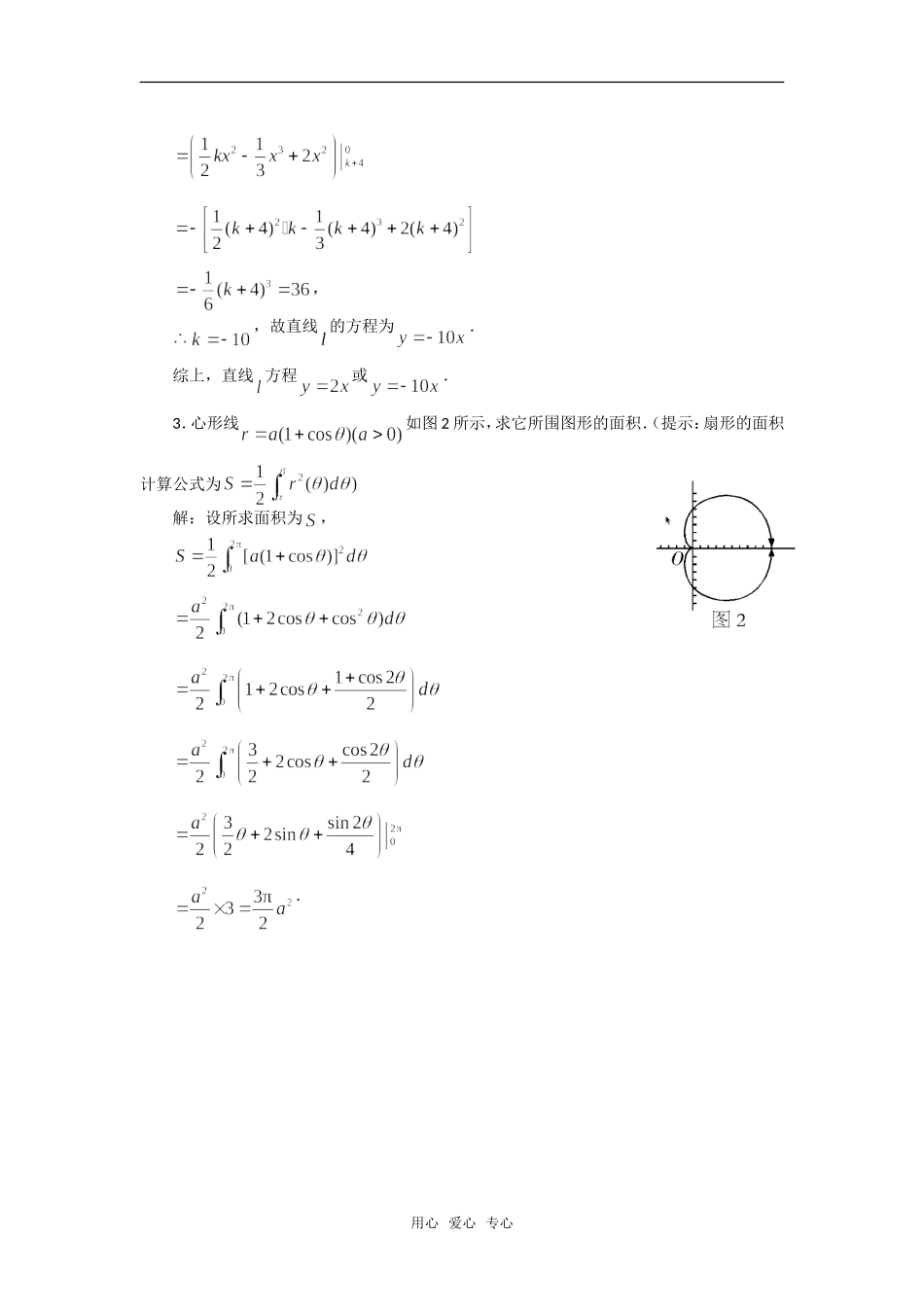
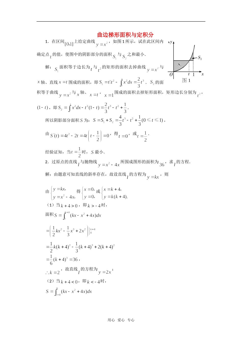
曲边梯形面积与定积分1.在区间上给定曲线,如图 1 所示,试在此区间内确定点 的值,使图中的阴影部分的面积与之和最小.解:面积等于边长为 与的矩形的面积去掉曲线与轴、直线围成的面积,即.的面积等于曲线与轴、,围成的面积去掉矩形面积,矩形边长分别为,,即.所以阴影部分面积为:,由,得,或.经验证知,当时,最小.2.过原点的直线 与抛物线所围成图形的面积为,求 的方程.解:由题意可知直线的斜率存在,故设直线 的方程为,则由得或(1)当,即时,面积,,故直线 的方程为;(2)当,即时,用心 爱心 专心,,故直线 的方程为.综上,直线 方程或.3.心形线如图 2 所示,求它所围图形的面积.(提示:扇形的面积计算公式为解:设所求面积为,.用心 爱心 专心

1、当您付费下载文档后,您只拥有了使用权限,并不意味着购买了版权,文档只能用于自身使用,不得用于其他商业用途(如 [转卖]进行直接盈利或[编辑后售卖]进行间接盈利)。
2、本站所有内容均由合作方或网友上传,本站不对文档的完整性、权威性及其观点立场正确性做任何保证或承诺!文档内容仅供研究参考,付费前请自行鉴别。
3、如文档内容存在违规,或者侵犯商业秘密、侵犯著作权等,请点击“违规举报”。

碎片内容

高中数学《曲边梯形面积与定积分》素材1 新人教B版必修2-2

您可能关注的文档

确认删除?
VIP
微信客服
  • 扫码咨询
会员Q群
  • 会员专属群点击这里加入QQ群
客服邮箱
回到顶部