电脑桌面
添加小米粒文库到电脑桌面
安装后可以在桌面快捷访问

安徽省中考物理 考前题型过关 专题二 题型一 图象分析课件-人教版初中九年级全册物理课件

安徽省中考物理 考前题型过关 专题二 题型一 图象分析课件-人教版初中九年级全册物理课件安徽省中考物理 考前题型过关 专题二 题型一 图象分析课件-人教版初中九年级全册物理课件安徽省中考物理 考前题型过关 专题二 题型一 图象分析课件-人教版初中九年级全册物理课件安徽省中考物理 考前题型过关 专题二 题型一 图象分析课件-人教版初中九年级全册物理课件
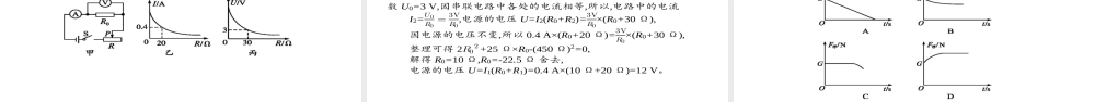
专题二 图象分析与作图很多物理问题常与图象相结合 , 通过问题与图形两种信息的转换可有效解答图象类综合计算题 , 这类题多年来都是中考物理命题的一大热点。这类问题中对图象进行分析的具体思路 : 明确图象中纵坐标、横坐标所表示的物理量 ; 明确图象所表达的物理意义及过程 ; 分析图象变化的特点 , 确定特殊点和特殊线段 ; 读出图象中纵坐标、横坐标所表示的物理量的值。作图题是中考常见的、基本的题型 , 在安徽中考中出现在填空题中进行考查。一般是根据题目的要求 , 作出适当的图象、图线。它的特点是能形象、直观地反映出物理过程和物理问题的本来面目 , 有助于同学们对物理问题的深化理解和认识。因此 , 作图题不仅能锻炼大家的作图技能 , 还能培养其严谨认真的科学态度。中考物理试题中的作图题属于对知识运用能力的考核 , 考查的主要目的是检查同学们作图的基本技能和应用作图技能解决物理问题的能力 , 如果不理解相关的概念和规律 , 要想作出正确的图是绝对不可能的。作图的注意事项 :(1) 用铅笔和刻度尺等工具作图 ;(2) 实线虚线要分清 ;(3) 保留作图痕迹 ;(4) 箭头、符号、字母等标志不能忘。题型一 图象分析所谓图象信息题 , 就是根据实际问题所表现出来的图象 , 要求考生依据所给的信息 , 运用所学的知识对其进行整理、分析、加工和处理。“巧用图象”解题 , 常常可达到化难为易、化繁为简 , 使有些看似复杂的问题迎刃而解。综观近几年全国各地中考物理试题 , 物理图象信息题成为中考命题的热点之一。1. 理解图象的物理含义例 1(2016 广东河源中考 ,5,2 分 ) 绘制图象是对物理过程分析和实验数据处理的一种常用方法 , 它可以直观地反映各物理量之间的关系。如图所示的图象中 , 正确的是 ( )答案 :A 解析 : 汽车做匀速直线运动时 , 速度一定 , 路程与时间成正比。如果用横轴表示时间 , 纵轴表示路程 , 则图象就是一条过原点的斜线 , 故 A 正确。同种物质密度一定 , 质量与体积成正比 , 用图象表示应该是一条过原点的斜向上的直线 , 故 B 错误。根据欧姆定律 , 电阻一定时 , 导体中的电流跟导体两端的电压成正比 , 用图象表示应该是一条过原点的斜向上的直线 ,而不是一条斜向下的直线 , 故 C 错误。海波是晶体 , 晶体在熔化过程中虽然吸热 , 但温度保持不变 , 晶体在熔化时有确定的温度 , 而图象中并没有确定的熔化温度...

1、当您付费下载文档后,您只拥有了使用权限,并不意味着购买了版权,文档只能用于自身使用,不得用于其他商业用途(如 [转卖]进行直接盈利或[编辑后售卖]进行间接盈利)。
2、本站所有内容均由合作方或网友上传,本站不对文档的完整性、权威性及其观点立场正确性做任何保证或承诺!文档内容仅供研究参考,付费前请自行鉴别。
3、如文档内容存在违规,或者侵犯商业秘密、侵犯著作权等,请点击“违规举报”。

碎片内容

安徽省中考物理 考前题型过关 专题二 题型一 图象分析课件-人教版初中九年级全册物理课件

您可能关注的文档

文章天下+ 关注
实名认证
内容提供者

各种文档应有尽有

确认删除?
VIP
微信客服
  • 扫码咨询
会员Q群
  • 会员专属群点击这里加入QQ群
客服邮箱
回到顶部