电脑桌面
添加小米粒文库到电脑桌面
安装后可以在桌面快捷访问

MBA初等数学串讲例题VIP免费

MBA初等数学串讲例题_第1页
1/8
MBA初等数学串讲例题_第2页
2/8
MBA初等数学串讲例题_第3页
3/8
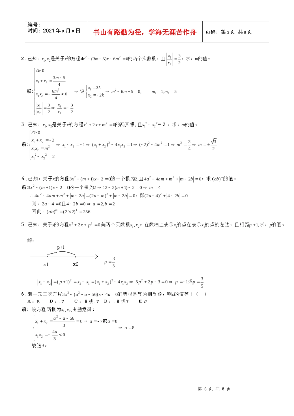
第1页共8页编号:时间:2021年x月x日书山有路勤为径,学海无涯苦作舟页码:第1页共8页初等数学串讲例题第2页共8页第1页共8页编号:时间:2021年x月x日书山有路勤为径,学海无涯苦作舟页码:第2页共8页第3页共8页第2页共8页编号:时间:2021年x月x日书山有路勤为径,学海无涯苦作舟页码:第3页共8页第4页共8页第3页共8页编号:时间:2021年x月x日书山有路勤为径,学海无涯苦作舟页码:第4页共8页应用题部分1.A、B两地相距64千米,甲、乙二人分别从A,B两地骑车相向而行,且甲比乙晚出发40分钟,甲比乙每小时多行4千米,那么两人在AB中点相遇,求:甲、乙二人每小时平均各行多少千米?第5页共8页第4页共8页编号:时间:2021年x月x日书山有路勤为径,学海无涯苦作舟页码:第5页共8页2.A、B两地间的路程为200千米,甲、乙两车同时从A地出发开往B地,30分钟后甲车在乙车前5千米,此时甲车出现故障,1小时后甲车排除故障以原速度继续前进,结果甲、乙两车同时到达B地,求:甲、乙两车每小时各行驶多少千米?3.A、B两地相距75千米,甲、乙两个骑车分别从A、B同时出发,相向而行,3小时相遇后仍按原速度原方向行驶,甲到B地后立即返回,返回速度是原速2倍,结果甲、乙两人同时到达A地,求:甲原来骑车速度?解:4.甲、乙两车分别从A、B两地同时出发相向而行,甲车经过A,B两地中点后又行驶了15千米与乙车相遇,相遇后甲车行驶小时到达B地,乙车行驶2小时到达A地,问:甲、乙两车每小时各行驶多少千米?第6页共8页第5页共8页编号:时间:2021年x月x日书山有路勤为径,学海无涯苦作舟页码:第6页共8页5.打字员甲的工作效率比乙高25%,甲打2000字所用时间比乙打1800字所用的时间少5分钟,问:甲、乙两人每小时能打多少字?解:乙每小时打字6.甲去上海进货,乙去广州进货,结果购进相同的衬衫共100件,以同样的价格卖出,甲赚800元,乙赚1800元,若甲以乙的价格进货,乙以甲的价钱进货,则两个人赚钱一样多,问甲、乙各进多少件衬衫?解:甲进件,乙进(100-)件,甲一件赚元,乙一件元7.某工人原计划若干天内生产840个零件,开始4天按原计划进行生产,以后每天生产的零件比原计划增加了25%,结果提前2天完成任务,求原计划多少天完成任务?解:法1,原计划每天做个零件法2,原计划天完成四、不等式第7页共8页第6页共8页编号:时间:2021年x月x日书山有路勤为径,学海无涯苦作舟页码:第7页共8页第8页共8页第7页共8页编号:时间:2021年x月x日书山有路勤为径,学海无涯苦作舟页码:第8页共8页

1、当您付费下载文档后,您只拥有了使用权限,并不意味着购买了版权,文档只能用于自身使用,不得用于其他商业用途(如 [转卖]进行直接盈利或[编辑后售卖]进行间接盈利)。
2、本站所有内容均由合作方或网友上传,本站不对文档的完整性、权威性及其观点立场正确性做任何保证或承诺!文档内容仅供研究参考,付费前请自行鉴别。
3、如文档内容存在违规,或者侵犯商业秘密、侵犯著作权等,请点击“违规举报”。

碎片内容

MBA初等数学串讲例题

您可能关注的文档

确认删除?
VIP
微信客服
  • 扫码咨询
会员Q群
  • 会员专属群点击这里加入QQ群
客服邮箱
回到顶部